【導讀】電抗是交流電路中具有阻礙電流流動性質的一種電阻。該電阻力是線圈(電感)和電容器(電容)產生的,因此在交流電路的設計和分析過程中,需要了解并考慮到其影響。電抗被廣泛應用于我們日常生活的各種技術中,如優化電子設備的運行、有效傳輸能量和降低噪聲等。
目錄
什么是電抗?
電抗、電阻和阻抗之間的區別
感抗
容抗
合成電抗
了解電抗種類和相關項目的差異
電抗是交流電路中具有阻礙電流流動性質的一種電阻。該電阻力是線圈(電感)和電容器(電容)產生的,因此在交流電路的設計和分析過程中,需要了解并考慮到其影響。電抗被廣泛應用于我們日常生活的各種技術中,如優化電子設備的運行、有效傳輸能量和降低噪聲等。
本文將介紹電抗的兩種類型、計算方法以及電抗與阻抗之間的關系。
什么是電抗?
電抗是交流電流流動時受到的阻礙程度
電抗是交流電路中具有阻礙電流流動性質的一種電阻,符號為“X”,單位為“Ω”。電抗是由電流相位的變化而產生的,因此在設計和分析含有線圈(電感)和電容器(電容)的交流電路時,電抗是很重要的原理。
但是,線圈和電容器的電抗作用不同,線圈的電抗稱為“感抗”,電容器的電抗稱為“容抗”。后續將詳細介紹這兩者之間的不同之處。
電抗的求法
電抗X可通過電壓V和電流I的比值計算出來。具體而言,可使用下列公式進行計算。
X=V/I[Ω]
電抗、電阻和阻抗之間的區別
電抗與電阻之間的區別
除了“電抗”外,衡量電流流動時所受阻礙程度的指標還有“電阻”。電阻符號為“R”,單位為“Ω”。電阻也表示“對電流的阻礙程度”,因此其計算公式(電流和電壓關系)與電抗相同。
R=V/I[Ω]
一般情況下,電阻常指“電阻器”。電抗和電阻之間不同之處有兩個。一個是電抗表示“交流電路中電流流動時受到的阻礙程度”,而電阻表示“直流電路和交流電路中電流流動時受到的阻礙程度”。
另一個是電抗隨頻率的變化而變化,電阻則不隨頻率的變化而變化。例如,當將“幅值為5V、頻率為100Hz的交流電源”與5Ω電阻連接,和將“幅值為5V、頻率為200Hz的交流電源”與5Ω電阻連接的情況進行比較時,兩種情況下的電流大小相同。
I=V/R=55=1A
電抗和電感之間的區別
電感是線圈性質,與電抗一樣是交流電路中的電阻。但是,電抗是電壓與電流之比,單位是“Ω”;而電感是計算感應電動勢的系數,單位是“H”。
當電流流過線圈時,會起到阻止電流流動的作用,這稱為“電磁感應”,這種電磁感應的大小稱為“感應電動勢”。計算這種感應電動勢所需的系數就是電感。電抗和電感都指交流電路中的電阻,但它們的值具有不同的含義,這一點需要掌握。
電抗和阻抗之間的區別
電抗和阻抗是理解交流電路工作的基本概念。電抗是指交流電通過線圈和電容器時受到的阻礙,其大小隨頻率而變化。而阻抗則是電抗和電阻的組合,由電壓與電流的比值來表示。了解電抗和阻抗之間的差異有助于實現高效的電路設計。在這里,我們將深入探討電抗和阻抗的特性,并了解它們對電路的不同影響。
阻抗的定義
阻抗是表示電流在交流電路中流動時受到的阻礙程度的指標。其符號為“Z”,單位為“Ω”(歐姆)。阻抗由電阻和電抗兩個元素組成,這兩個元素分別表示交流電路中電流流動受阻的不同側面。具體而言,電阻表示對電流流動的純粹阻礙,電抗表示對電路的電容量和電感引發的電流相位變化的阻礙程度。阻抗本身被定義為交流電路中電壓與電流之比,通過電壓除以電流來計算。從這個比值可以看出,實部表示電阻分量,虛部表示電抗分量。
電阻、電抗和阻抗之間的關系
電阻表示電路中電流受到的阻礙,根據歐姆定律來定義電流和電壓之間的關系。而電抗則表示交流電路中電流的滯后或超前,可分為“感抗”和“容抗”兩種類型。電抗會導致電流和電壓之間產生相位差。
復數表示法和阻抗
阻抗是用復數來表示電路中電流和電壓關系的指標,實部為電阻(R),虛部為電抗(X)。這種復數表示法有助于深入了解電流和電壓的相位差以及電路的特性,從而有助于更輕松地進行電路分析。阻抗是電阻和電抗的組合,是表示電路中電流和電壓之間關系的復數。
阻抗公式如下:Z=R+jX
其中,Z是阻抗,R是電阻,j是虛數單位(j2 = -1),X是電抗。
電抗具有使電流滯后或超前的作用。對于感抗而言,線圈和電感器磁場變化具有減緩電流流動的作用;對于容抗而言,電容器積蓄和釋放電荷具有加速電流流動的作用。
而阻抗是表示整個電路中電流和電壓之間關系的量,由電阻(實部)和電抗(虛部)組成。通過使用阻抗,可以準確把握交流電路的特性以及電流和電壓的相位差,從而使電路設計和分析更容易。綜上所述,可以說電抗和阻抗是表示電路不同側面的重要概念,它們具有不同的作用和含義。電抗表示交流電路中電流流動的滯后或超前,而阻抗則是表示整個電路中電流和電壓之間關系的復數,由電阻和電抗組成。
相關術語整理如下:
電抗(X)
交流電路中電流流動時受到的阻礙程度。隨頻率的變化而變化。電抗有線圈的電抗(“感抗”)和電容器的電抗(“容抗”)兩種類型。
電阻(R)
電路(直流和交流)中電流流動時受到的阻礙程度。即使頻率改變,電阻也不會變化。
阻抗(Z)
由電阻和電抗組成。
感抗
感抗是電感(線圈)在交流電變化時產生的阻礙作用。該阻礙作用是電感器對電流變化做出反應并試圖抑制電流變化而產生反向電壓形成的阻力。其結果是感抗會減慢交流電路中的電流流動,并導致電流和電壓之間產生相位差。感抗的符號為“XL”。
感抗的求法
感抗是由線圈等電感元件引起的,取決于交流電的頻率和電感元件的電感。具體而言,感抗“XL”可通過下列公式來計算。該公式表明,頻率越高,另外電感值越大,電抗越大。
XL=ωL=2πfL [Ω]
* ω:角頻率(2π)[rad/s] :頻率[Hz]
線圈電感“L”的單位“H”讀作“亨”。
線圈電感“L”是由線圈形狀和匝數決定的固有值。因此,隨著頻率“f”的增加,感抗“XL”也會變大,也就是說兩者是成正比的。另外,在直流電路中,由于頻率為0Hz,所以感抗為0。
在感抗中,電流與頻率成反比
下面,我們根據前面的電路圖來計算感抗。由于電抗是交流電路中電壓與電流之比,因此公式如下:
XL=V?I[Ω] 可以將該公式轉換如下:
從這個公式可以看出,電流“I”隨著頻率“f”的增加而減小,也就是說兩者成反比。
容抗
容抗是電容器(電容)在交流電變化時產生的阻礙作用。該阻礙是因電流變化電容器中存儲的電荷量發生變化,因而產生電壓變化,從而產生該阻礙作用。其結果是容抗會加快交流電路中的電流流動,并導致電流和電壓之間產生相位差。容抗的符號是“Xc”。
容抗的求法
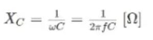
容抗是電容器等電容元件引起的,取決于交流電的頻率和電容器的電容量。具體而言,容抗“Xc”可通過以下公式來計算。該公式表明,頻率越高,電抗越小;另外,電容值越大,電抗越小。
* ω:角頻率(2)[rad/s] :頻率[Hz]
另外,電容器的電容“C”的單位“F”讀作“法”。
電容器的電容C是由電容器本身決定的固有值。因此,容抗會隨著頻率“f”的增加而變小,也就是說兩者成反比。在直流電路中,頻率為0Hz,所以容抗無窮大。
在容抗中,電流與頻率成正比
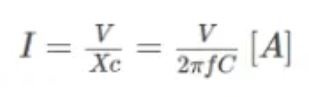
下面,我們根據前面的電路圖來計算容抗。由于電抗是交流電路中電壓與電流之比,因此公式如下:
可將該公式轉換為以下的電流公式:
從這個公式可以看出,電流“I”隨著頻率“f”的增加而增加,也就是說兩者成正比。
合成電抗
合成電抗是交流電路中感抗(電感器帶來的阻礙)和容抗(電容器帶來的阻礙)的合成阻力。這種合成阻力會影響電路中電流相位和電壓相位之間的關系,從而決定交流電路的表現。感抗是阻礙電流的變化并使相位延遲,而容抗則是使電流超前。合成電抗為這兩種電抗之間的差值,其結果決定電流相對于電壓是滯后還是超前。合成電抗的符號通常用“X”來表示,其值為感抗“XL”減去容抗“Xc”得到的值。
這里需要注意的是,感抗和容抗都與頻率有關。在特定頻率下,XL=Xc,即合成電抗的值可能為0。這種狀態稱為“諧振”,此時的頻率稱為“諧振頻率”。
了解電抗種類和相關項目的差異
在本文中,我們了解了電抗。電抗表示交流電路中電流流動時受到的阻礙程度。雖然“電阻”和“阻抗”這兩個術語的含義相近,但清楚地了解它們之間的差異也很重要。
請記住:電抗分線圈的電抗(感抗)和電容器的電抗(容抗)兩種。與電阻不同,電抗的值會隨頻率的變化而變化。感抗與頻率成正比,而容抗與頻率成反比。
文章來源:羅姆半導體集團
免責聲明:本文為轉載文章,轉載此文目的在于傳遞更多信息,版權歸原作者所有。本文所用視頻、圖片、文字如涉及作品版權問題,請聯系小編進行處理。
推薦閱讀:





