【導讀】簡單的回答就是低通濾波器(lpf)允許低頻通過,同時阻斷高頻。最經典的例子就是音頻系統中的低音。低通濾波器允許低音傳遞到大低音,而高通濾波器(hpf)允許高頻音傳遞到高音。甚至可能有一個帶通濾波器,允許中音(語音)信號傳遞到中音揚聲器。
問:什么是低通濾波器?
簡單的回答就是低通濾波器(lpf)允許低頻通過,同時阻斷高頻。最經典的例子就是音頻系統中的低音。低通濾波器允許低音傳遞到大低音,而高通濾波器(hpf)允許高頻音傳遞到高音。甚至可能有一個帶通濾波器,允許中音(語音)信號傳遞到中音揚聲器。
在這個例子中,濾波器被用來減輕與揚聲器相關的物理效應。低音被傳遞到一個大型換能器,該換能器能夠移動大量空氣以提供雷鳴般的低音,而高音則由較小的設備更好地產生。
為了充分理解濾波器的含義和操作,我們需要一個工作的心智模型來區分時間域和頻域。我們必須掌握用來描述變頻信號的語言,這樣我們才能設計并隨后評估濾波器的性能。
本文將指出這些基礎。它給出了一個理想的一階低通RC濾波器的仿真結果,然后總結了學生可能遇到的危險。具體來說,就是濾波器在非理想元件的非理想環境中使用時所遇到的問題。
濾波器賴以存在的基礎是什么?
傳統電子學課程介紹了介于分立晶體管放大器和運算放大器之間的濾波器。遺憾的是,我們沒有更多的時間來探索與頻域分析相關的豐富語言。事實上,很多學生會嘗試在沒有使用過頻譜分析儀的情況下描述濾波器。在一個相關的,也許同樣令人沮喪的情況下,您可能會參加數字邏輯課程,探索如何將低通(抗混疊濾波器)應用于ADC。當你最終完成信號和系統課程時,情況可能會好轉。在那之前,請繼續閱讀這篇文章。
技術小貼士:
低通濾波器通常在模擬數字轉換器(ADC)之前使用。低通濾波器用作抗混疊濾波器,防止令人反感的失真形式。這種失真的原因與奈奎斯特采樣定理有關,該定理告訴我們,最高ADC輸入頻率必須小于采樣頻率的一半。例如,為語音頻率設計的系統可以具有6千赫的采樣率。任何高于3 千赫的音調都會導致信號失真。
毫無疑問,這是一個復雜的高爾迪結,很可能是你訪問這個頁面的原因。濾波器是一個具有挑戰性的概念,因為它們的應用需要許多相關但基本的概念,如頻域分析,帶寬,共振,諧波,傅立葉級數和分貝。每一個都很復雜,但可能會讓你覺得你是在從消防水管里喝水。
完整的解決方案超出了本文的范圍。代替。請允許我給你介紹一些有用的視頻。視頻1演示了在廚房中遇到的光譜。這是一個近乎完美的聲音介紹,為思考濾波器的方式奠定了基礎。第二個視頻是我的通信系統系列講座的一部分。它提供了多種思考頻譜的方式。它建立在之前的電路I和電路II相量計算的基礎上,并使用無線廣播探索帶寬。最后,它提出了一個涉及低通濾波器、高通、帶通和陷波濾波器的仿真。
理想低通濾波器的計算
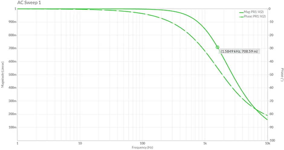
設R = 1.0 kΩ, C = 0.1 uF。結果是-3dB截止約1.6 kHz。在線DigiKey低通濾波器計算器 ,如圖1所示。Multisim 頻率掃描的結果,結果在圖2中得到進一步支持,圖2是使用線性標度呈現的。在這張圖中,可以看到幅度從輸入的1.0 V下降到輸出幅度的0.71 V。
圖 1 :R = 1 kΩ和C = 1 uF的DigiKey RC低通濾波器計算器的圖像。得到的截止頻率約為1.6 kHz。
圖 2: MultiSim頻率掃描的結果顯示,在截止頻率下,濾波器輸出幅度從1.0V下降到0.71V。
技術小貼士:
術語“截止”經常被誤解。在低通濾波器的語境中,截止頻率是指輸出信號為輸入信號70.7%。這可以用分貝的形式表示為-3 dB。重要的是要認識到,信號在截止點處顯著降低。實際的衰減逐漸從較低的頻率開始。
當我們偏離理想低通濾波器時出現的問題
在上一節中,我們在描述濾波器時小心翼翼地使用了“理想”一詞。這個術語適用于濾波器本身,也適用于濾波器的使用方式。至于濾波器,術語“理想”意味著組件以理想的方式運行(請參閱技術小貼士)。至于輸出,我們假設濾波器與任何負載斷開連接。換一種說法,我們假設濾波器的輸出正在尋找一個無限的阻抗。
一個典型的錯誤是將濾波器的輸出輸入反相運放。假設這個放大器的增益為10,使用1.0 kΩ和10 kΩ電阻對。考慮到運算放大器的虛擬地,濾波器將看到1 kΩ負載。對于低頻,濾波器輸出幅度不再統一。事實上,對于我們選擇的電阻,我們已經形成了一個分壓器,在低頻時輸出減半。我們的截止頻率也發生了移位。無需解釋,我們應該重新學習Thévenin的定理,開始著手進行AC分析。
結論
這是理論與現實世界相遇的一個迷人的研究點。低通濾波器一點也不簡單。在設計電路時,請牢記這些想法。也許這是許多人稱之為藝術的原因。
文章來源:DigiKey得捷
免責聲明:本文為轉載文章,轉載此文目的在于傳遞更多信息,版權歸原作者所有。本文所用視頻、圖片、文字如涉及作品版權問題,請聯系小編進行處理。
推薦閱讀:
UWB芯片深入城市每一條“神經末梢”!紐瑞芯“創芯版圖”再升級,劍指數字中國時空基底
ADI的智能工廠專業知識助您選擇合適的IO-Link從站收發器




