【導讀】電阻的熱噪聲(或約翰遜噪聲,或奈奎斯特噪聲,或約翰遜-奈奎斯特噪聲)是由構成電阻的原子內部和原子之間的電荷載流子的自 然隨機運動產生的。
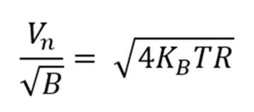
電阻的熱噪聲(或約翰遜噪聲,或奈奎斯特噪聲,或約翰遜-奈奎斯特噪聲)是由構成電阻的原子內部和原子之間的電荷載流子的自 然隨機運動產生的。無論組成如何,它在所有電阻中都是相等的,并且其均方根振幅由以下等式描述:

Vn = 均方根噪聲電壓 KB=玻爾茲曼常數=1.38 x 10-23 T=絕對溫度(°K) R=電阻值(Ω) B=測量噪聲的帶寬(Hz)

該數字表示直流電壓的值,該電壓將向電阻負載提供與所討論的噪聲信號相同的功率。電阻上出現的最大瞬時噪聲電壓幅值在嚴格意義上不受限制,因為它是由隨機過程驅動的,但觀察到峰值振幅超過某個值的可能性隨著閾值的增加而降低。通常使用6.6倍均方根值的系數來估算峰間熱噪聲值;熱噪聲的瞬時值應等于或低于99.9%(時間)均方根值的6.6倍。

各種封裝形式的通孔電阻(不按比例)

各種封裝形式的表面安裝電阻(不按比例)

結果通常以納伏每平方根赫茲的單位表示,然后可以針對估計的工作溫度(通常約300°K)進行計算,并用作與電路中其他噪聲源(例如運算放大器的輸入電壓噪聲)進行比較的基礎。
文章來源:DigiKey
免責聲明:本文為轉載文章,轉載此文目的在于傳遞更多信息,版權歸原作者所有。本文所用視頻、圖片、文字如涉及作品版權問題,請聯系小編進行處理。
推薦閱讀:





