【導讀】近年來,隨著電子設備及非線性、沖擊性設備的廣泛應用,使電網中產生的諧波對電網系統造成的污染越來越重,因此消除電網中的諧波污染已成為電能質量研究的一個重要課題。本文介紹的是基于DSP和ARM的并聯有源電力濾波器控制器在電網設計中的應用思路。
1 前言
近年來,電子設備及非線性、沖擊性設備的廣泛應用,使電網中產生的諧波對電網系統造成的污染越來越重,因此消除電網中的諧波污染已成為電能質量研究的一個重要課題。目前普遍 采用的并聯型無源濾波器存在著濾波效果差,對電網參數敏感。元件體積龐大。嚴重時會導致串并聯諧振事故等缺陷。采用現代電力電子技術、數字信號處理技術和先進控制理論的有源電力濾波器技術對電網諧波進行動態實時補償,是目前解決諧波污染問題的一種有效并具有潛力的途徑。
傳統的并聯型APF的控制方法大都基于瞬時無功理論、自適應理論等計算測量方法,首先計算出負載電流中的諧波成分,然后根據計算出的諧波電流值。分 別進行補償電流和直流側電容電壓的控制。這種方式需進行較復雜的數學運算,影響裝置的響應速度。在負荷變化時容易發生電流畸變。
針對三相系統采用了一種基于直流側電容電壓控锘lJl51的APF控制算法,從瞬時有功和無功功率在系統中傳遞的角度出發,以調節電網輸入APF的有功功率為目標,直接對輸入電流進行控制,省去了檢測有功和無功電流分量的繁瑣過程,使檢測諧波的過程變得簡單。并設計了一種基于DSP和ARM的全數字并聯APF控制器。
2 控制策略
2.1 直流側電容電壓控制算法
通過控制算法使電源側向電容注入適當的能量,以補償電力電子器件開斷造成的損耗,維持直流側電容電壓H由的穩定。實際補償裝置中的損耗功率在一個周期內的積分不為零,會引起u也周期值的變化,該周期值的變化反應了逆變器兩側有功功率的傳遞。
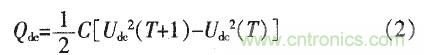
算法控制在交流側由電源輸入有功電流以補償開關器件的損耗。交流側補償功率PA一個周期內的積分為:

在一個周期內的能量變化即直流電容上儲存的電量可表示為:

聯立式(1)和式(2),補償目標是使兩式相等。以一個r為單位。可以計算出交流側等效補償電流的大小。圖1示出據此設 計的直流側電壓的單周期控制框圖。進行周期采樣,通過比例積分環節對采樣得到的電壓比較值進行修正之后,可以得出損耗電流的幅值k。使損耗電流與系統電壓 同相位,以保證其為等效有功電流:控制有功的傳遞情況,以保證穩定在某一值附近。
由圖1可以看出,u出的調節形成負反饋,滿足了出始終在某一固定值附近的要求。

2.2 諧波補償
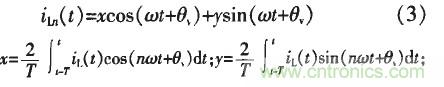
對于某一穩定諧波源,可通過在控制回路疊加諧波檢測環節來補償負荷的諧波,既可選擇全補償亦可選擇對特定諧波進行補償。同時,在諧波檢測環節加限幅環節。以抵消負荷突變造成的影響,起到保護電路的作用。諧波電流的提取可按FFI''''''''方法計算:

2.3 總控制框圖
圖2示出總控制框圖。目標電流輸出包括了控制和諧波電流檢測兩部分內容。與補償器實際輸出的補償電流進行滯環比較。輸出三相PWM信號去控制變流器。

3 有源電力濾波器控制系統設計
所設計的APF控制系統采用DSP+ARM雙核結構。DSP完成采樣控制、A/D轉換、電壓調節和指令電流計算等功能,ARM實現外圍擴展功能。
采用近年新推出的一款32位定點數字信號處理器TMS320F2808。它具有豐富的片內外圍設置:
兩個事件管理器模塊各包含兩個16位定時器。完成PWM信號產生、信號指示和故障保護功能;最小轉換時間為160 ns的12位ADC完成數據采集:CAN,SCI和SPI通信接口完成快速通信功能。其最高主頻為100 MHz.單個指令周期為10 ns.可以很好地滿足APF控制系統的控制要求。
采用LPC2364型ARM芯片。 它基于一個支持實時仿真和嵌入式跟蹤的ARMTTDMI.STMCPU微控制器,功能強大且成本效率高。支持10/100 Ethernet、全速USB2.0和CAN2.0B.具有高達512 kB的FLASH和58 kB的SRAM.可以方便地實現液晶顯示器與鍵盤組成的人機接口。以及與上位機的通信功能。控制系統框圖如圖3所示。

電網中的三相電壓信號、直流側電壓信號、負載電流信號以及APF輸出信號經過信號調理后送往DSP進行轉換。DSP內置 A/D模塊具有12位分辨率、流水線結構。根據所采樣的數據,TMS320F2808運算得到的如與APF實際輸出的補償電流進行滯環比較。輸出三相 PWM信號控制變流器。同時,采用邏輯器件組成了硬件死區控制方式,配合IGBT模塊設計了相應的邏輯硬件驅動保護。以提高系統的可靠性。
DSP與ARM之間采用CAN通信方式,通信速度可達l Mb/s。能很好地滿足高速傳輸數據的要求。
ARM通過CAN總線調用刖D數據并擴展FLASH芯片用于存儲數據。芯片采用I/O模式的16 MB容量FLASH。板內可擴展8塊。利用三八譯碼器的輸出作為選通信號。主要用于儲存液晶屏顯示數據:ARM芯片采用標準SPI接口。與顯示板交互數 據:帶有標準的232/485接口。用于上位機通訊及通訊口功能的擴展。如打印機等。
系統程序由主程序和定時器上溢中斷程序組成。
主程序負責DSP系統初始化和變量初始化。完成對三相系統的采樣。執行圖4a中的控制算法,包括數字鎖相環、電壓PI調節以及id的計算;圖4b所示的中斷程序負責三相滯環比較控制。

4 仿真與實驗
在不對稱諧波負荷情況下,使用電力仿真軟件EMTP進行了仿真(波形略)。從仿真結果來看,補償前的三相系統電流,屯波形不對稱、非正弦,且含有大量諧波;補償后ih,譏,ik對稱且與系統電壓同相位。
圖5示出采用所設詩的APF進行補償后的實測波形。對比兩圖,補償后諧波含量明顯減小,APF諧波補償效果明顯。

5 結論
針對三相系統設計了一種基于DSP—ARM全數字控制的并聯有源電力濾波器。采用了基于能量守恒原理的直流側電壓控制方法,該方法能對諧波實現全補 償。并且該控制策略對于不平衡的三相系統仍然有效。對不對稱諧波源進行補償后可使三相電流保持對稱。仿真與實際測試結果表明了該控制策略的正確性。可使系 統具有良好的諧波抑制特性和響應速度。


