【導 讀】電磁兼容性包含著2方面要求,其一是要求產品對外界的電磁干擾有一定的承受能力;其二是要求產品在正常運轉過程中,該產品對周圍環境產生的電磁干擾不 能超過一定的限度。汽車電器的電磁兼容性就是指在汽車及其周圍空間中,在運行時間內,在可用的頻譜資源條件下,汽車本身以及周圍的用電設備可以共存,不致 引起降級。
ABS防抱死制動系統,發動機燃油點火電子控制系統,GPS全球定位系統等電子設備的正??煽抗ぷ鞫急仨氈匾晫﹄姶偶嫒菁夹g的設計和研究,可以從傳統的汽 車電器(諸如起動機、刮水電動機、閃光器、空調啟動器、燃油泵等)入手進行探討,交流發電機電纜的連接和間歇切斷也是產生較大功率電磁輻射的干擾源,只是 其它設備對其工作可靠性的影響較那些小功率高頻段的電子設備為小。現在,交流發電機的調節器與電子點火系統一樣,已經設計成集成模塊化結構,同樣面臨抗干 擾的問題。
電磁干擾的來源、傳播途徑及檢測
(一)電磁干擾的來源
汽車電器設備受到的電磁干擾的來源常分為3種:周圍高壓變電所輸電線、大功率無線電發射基站、行駛中相距較近的汽車、雷電、太陽黑子輻射的車外電磁干擾; 由于行駛時車體與空氣高速摩擦,在車體上形成不均勻分布的靜電而產生的車體靜電干擾;點火系統產生的車內電磁干擾等高頻輻射干擾。電動機電刷換向火花的電 磁輻射,起動機電磁開關和各種開關工作時放電干擾等,都是汽車電器設備電磁干擾的來源。
(二)電磁干擾的分類及傳播
電磁干擾(EMI)按頻段可粗略劃分為:0.02~2kHz,諧波干擾;2~300kHz,傳導干擾或載頻干擾;0.3~300MHz,射頻干擾;0.3~300GHz,微波干擾。
從干擾的途徑來分,0~300kHz并存著傳導干擾和交變電磁場引起的近場感應干擾;射頻和微波干擾都是遠場的輻射干擾。當設備和導線的長度比波長短時,主要的問題是傳導干擾;當它們的尺寸比波長長時,主要的問題是輻射干擾。
(三)3 類干擾分述如下
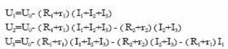
a.傳導干擾是通過電路連接的導體傳播,共電源線,共搭鐵線。圖1為傳導干擾的電路原理圖。
根據電子電工學知識可得各電器的工作電壓為:

式中:R——電源線電阻;
r——搭鐵線電阻;
U——支路電壓;
I——支路電流。
可見一個電器電流的變化會影響其它電器電壓變化,引起干擾。降低電器間相互干擾,必須減小R、r和I。
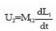
b.感應干擾由各類電器、導線的交變電磁場引起,下面從電場耦合干擾和磁場耦合干擾來敘述其原理。圖2、圖3分別表示其電路原理圖。

分析圖2,則導線2上干擾電壓U2為:

式中:C12——兩導線間電容;
C20——導線2搭鐵電容;
R——回路電阻;
U1、I1——導線1的電壓、電流。
減小U2,應從降低C12和R或增大C20入手,即增大導線間距離或改變電器導線間介電參數。
磁感應干擾與兩回路長度L1、L2,導線間距離b相關。由圖3可知

式中:

μ0——真空導磁率;M12——兩回路間互感。
降低U2,在于增大b和減小回路面積來減小M12,或減低電壓變化率。
c.輻射干擾是射頻的無線電發射通過導線電纜和金屬構件這些等效的天線進行發射干擾,因而線束的輻射干擾是最嚴重的一種。由描述電磁波的Maxwell方程可知,減小射頻電磁場的強度,要減小高頻電流I、輻射的有效長度L或增大距離b。
(四)電磁干擾的檢測
汽車電路系統由蓄電池和整流的交流發電機作為核心電源,車體作為共用搭鐵,各個電器裝置并聯其上。相連的線束造成電器間彼此傳導干擾;相鄰的導線間會有感應干擾;因為天線效應,不相鄰導體間又存在著輻射干擾。因而電磁干擾綜合著3種途徑,覆蓋較寬的干擾頻率。
應用頻譜分析儀進行電磁兼容性分析研究,檢測電磁干擾直觀且可以定量。它是一種30~1000MHz窄帶掃頻接收機,能在某一時刻接收某個頻率范圍內的能 量,記錄下不同頻段內干擾的幅值。缺點是對于時間很短頻譜范圍很寬,如靜電放電這一類瞬態的脈沖干擾,不能寬頻段全貌反映實際干擾情況。常常只能數臺同時 啟用進行觀測分析。
汽車電器電磁兼容性
面對的3項技術問題和提高電磁兼容性的措施電子電器產品系統降噪技術在20世紀70年代已受到各國關注,至20世紀90年代美國聯邦通訊委員會(FCC) 和歐盟CE先后提出對該類產品的有關規章。這些規章要求各公司確保其產品符合嚴格的電磁環境影響和發射準則。符合這些規章的產品稱為具有電磁兼容性 (EMC)。
(一)電磁兼容性要面對的問題
汽車電器電磁兼容性需要面對的3個技術問題是:
①探討電器產生的電磁輻射(EME)并控制為最小;
②電源電壓的瞬變,車燈、起動機等重負載和感性負載引起的瞬態干擾是如何惡化汽車的電磁環境的;
③如何把電磁敏感性(EMS)降低到最小。電磁敏感性(Electro-Magnetic Susceptibility)是指存在電磁騷擾的情況下,裝置設備或系統對自身性能降低的無作為能力。當敏感性低時,抗擾性則強,足以防護電器電子產品 免受其它系統有害輻射的影響。曾有EMC=EMI+EMS這樣一個模擬的公式,表示電磁兼容性是研究降低電磁干擾和降低電磁敏感性,即增強抗干擾能力的。
(二)提高電磁兼容性能的措施
降低電器的電磁干擾強度:①要降低發電機紋波電流。交流發電機是大的功率源,減小高次諧波分量可以大幅度降低傳導和輻射干擾,對電器而言輸入電流諧波屬于 EMI;②應在閃光器觸點前加電弧抑制器;③感性負載(如刮水電動機、燃油泵、起動機)有電刷換向器,需要濾波電容器旁路換向火花所產生的高頻輻射。電容 要達到良好的濾波效果,它與噪聲源的公共搭鐵之間的連線要盡量短。
自由空間中的導線電感每毫米約為0.04nH。如果電刷產生的噪聲頻率為50~100MHz,當電容連接的導線長度為100~150mm時,導線不計線間 電容,則感抗XL=2πfL=3.77Ω;而0.1μF電容的容抗XC=1/(2πfC)=0.159Ω。若導線長度縮短為25mm,感抗僅為 0.628Ω,濾波電容效果提高80%。濾波器件應直接由噪聲源搭鐵,使回路阻抗最小,有最佳濾波效果。必須注意,有交流分量的輸入端安裝電容一定要慎 重,解決EMC問題的同時,不能引起過大的漏電流,超出安全規范的規定。
在電刷上連接一個10~25μH的電感,吸收電刷通過換向器間隙時流經電刷電流突變的能量,串聯在電路中的扼流圈和對搭鐵的旁路電容組合成低通濾波器,也能抑制傳導干擾。LC濾波器比單個電容有更寬的濾波帶寬,而干擾波形尖峰產生的輻射干擾的抑制通過屏蔽來實現。
同一設計的汽車電機電器產生的干擾,由于工藝等的差異在幅度和頻率上有很大的隨機性。有一個良好的搭鐵線,甚至將產生干擾的電器裝置限制在一塊公共搭鐵板 上,就近接到車體或線束的屏蔽層搭鐵,才能保證濾波、屏蔽最有效。低頻電路的搭鐵,應盡量采用單點并聯搭鐵;高頻電路宜多點串聯搭鐵,搭鐵線短而粗,更有 效抑制長搭鐵走線產生的共模干擾。輸入輸出元件盡量隔遠些,高頻元件間要防止分布參數造成相互干擾。
合理布線,合理規劃線束,使大功率干擾電路應盡可能緊靠負載,小功率敏感電路緊靠信號源,盡量分開大功率電路和小功率電路,減小線束間感應干擾和輻射干 擾。經過濾波的電源線要盡量遠離各種信號線,以防高頻信號耦合到電源線,造成傳導發射超標。對較長的線束應在線束上增加濾波器,常用的方法是套上鐵氧體磁 環,降低傳導和輻射干擾。用于抑制電磁干擾的磁環不同于一般用做電感的鐵氧體,它的品質因素Q值甚低,損耗較大。
濾波、屏蔽、優化布線和搭鐵是4項EMC最常規采用的有效措施。但汽車鋼制車體總是作為直流電源回到負極的電路,既作為搭鐵線,又是射頻阻抗較小的信號回 流線。所以汽車電器還采用阻尼的方法來抑制輻射。發動機火花塞的中心電極對殼體通過絕緣介質構成電容,中心電極本身又具有電感,這樣就形成一個LC振蕩回 路,火花塞的導線起著天線作用,以電磁波形式向空間發射,電刷與換向器、滑環間的火花,喇叭、燈開關,機械式調節器、傳感器的觸點開關,由于各自回路LC 的差異,射頻干擾頻率范圍在0.15~1000MHz之間。點火裝置就是采用在高壓電路串入阻尼電阻有效削弱電火花產生的高頻振蕩,但過大的阻值會影響火 花塞電極的能量,故一般不超過20kΩ。常采用直徑1mm的NiCrAl絲繞成,LCR并存,有良好的阻尼振蕩輻射作用。
干擾電波具有下述特性:當從發生源臨近的地方移開時先以距離3次方的速率衰減,稍遠些時,以距離二次方的速率衰減,最后隨距離線性衰減。
FCC第15部分規定30~88MHz的極限值為100μV/m。
在80MHz處,相距干擾源50cm的位置,測得輻射強度80μV/m,應為合格,當距離減小為30cm時,其輻射強度變為800μV/m,是極限值 100μV/m的8倍,高出18.1dB。“保護距離”的概念,是指在某種條件下使用電器設備,仍可能會產生干擾。當今汽車設計中都有一個高度集成的微控 制器MCU,它用來完成大量的計算并實現有關車輛運行的控制,包括發動機管理和制動控制。除MCU模塊自身滿足EMC規范外,必須使這類關鍵元器件在保護 距離以內,達到優良的電磁兼容性能,免受其它電器電子設備干擾。
改善電磁兼容性的試驗研究
電磁兼容性的仿真計算僅能對電器的電磁性能進行初步粗略的估算,最終改善汽車電器的電磁兼容性須待試驗進行驗證。下面對2種汽車電器產品采用綜合改進措施前后的干擾波形圖進行對比。

刮水電動機是直流永磁蝸輪減速電動機,額定功率為60~100W,既是感性負載,又有電刷換向火花的存在,是一個大的干擾源。改善刮水電動機的EMI性能需要改進傳統的換向結構,并在刷握近處加濾波處理。圖4是改進前后的干擾波形圖。
用無刷直流電動機做刮水電動機,采用霍爾元件做位置傳感器,脈寬調制(PWM)變頻調速,在掃頻儀上可以看到3~18次的高次諧波干擾。
作為信號裝置的閃光器是典型觸點繼電器式的器件,觸點處于頻繁火花通斷工作。相連的線束上產生的傳導干擾,又引起較大的輻射干擾。改善EMC的措施是在線 束上加套的鐵氧體磁環,和閃光器出線處連接的0.1μF電容構成低通濾波器,抑制了傳導干擾,射頻干擾也得到大幅度衰減(尤其是50~100MHz段)。 圖5為12V/20A的閃光器改進前后干擾波形。
同一設計的汽車電機電器產生的EMI,由于元器件、布線工藝等的差異,干擾幅度和頻率上會有較大的隨機性。在定性的理論指導下,采取1~2項或綜合的改進措施,統一工藝規范,反復實驗總結,都能達到滿意的結果。
結語
我國對汽車電器電子設備電磁兼容性系統研究起步較晚,目前已日益受到重視,這對提高汽車產品出口競爭力至關重要。電磁兼容性出口的CE或FCC認證費用十 分昂貴,提高認識,及時調整好各項參數,可以縮短認證周期,降低成本,使我國出口產品具有優秀的EMC品質,品質穩步提高。
【推薦閱讀】
電子式互感器面臨電磁兼容性考驗
工程師該如何估計無線傳感器電池供電時間?
如何用單個施密特觸發器測量兩個電阻式傳感器或多個開關?
陶顯芳老師教你如何避免開關電源變壓器的漏感
開關電源變壓器屏蔽層抑制共模EMI的研究




