- 探究汽車電子設備EMC技術改進
- 對電子設備干擾源的分析
- 采用改進措施來提高電磁兼容性能
隨著汽車電控技術的不斷發展,汽車電子設備數量大大增加,工作頻率逐漸提高,功率逐漸增大,使得汽車工作環境中充斥著電磁波,導致電磁干擾問題日益突出,輕則影響電子設備的正常工作,重則損壞相應的電器元件。因此,汽車電子設備的電磁兼容性能越來越受重視,目前迫切要求能廣泛應用針對汽車子設備的電磁改進技術。
電磁干擾的來源
汽車電子設備工作在行駛環境不斷變化的汽車上,環境中電磁能量構成的復雜性和多變性,意味著系統所受到的電磁干擾來源比較廣泛。按照電磁干擾的來源分類,可分為車外電磁干擾、車體靜電干擾和車內電磁干擾。
車外電磁干擾
車外電磁干擾是汽車行駛中經歷各種外部電磁環境時所受的干擾。這類干擾存在于特定的空間或是特定的時間。如高壓輸電線、高壓變電站和大功率無線電發射站的電磁干擾,以及雷電、太陽黑子輻射電磁干擾,等等。環境中其它臨近的電子設備工作時也會產生干擾,例如行駛中相距較近的汽車。
車體靜電干擾
車體靜電干擾與汽車和外部環境都有關。由于汽車行駛時車體與空氣高速摩擦,在車體上形成不均勻分布的靜電。靜電放電會在車體上形成干擾電流,同時產生高頻輻射,對汽車電子設備形成電磁干擾。
車內電磁干擾
車內電磁干擾是汽車電子設備工作時內部的相互干擾,包括電子元器件產生的電子噪聲,電機運行中換向電刷產生的電磁干擾以及各種開關工作時的放電干擾,最嚴重的是汽車點火系統產生的高頻輻射,其干擾能量最大。
電磁干擾的途徑及原理
電磁干擾按干擾途徑分類,主要分為傳導干擾、感應干擾和輻射干擾,對應的干擾原理如下。
傳導干擾
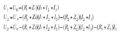
傳導干擾主要通過電路的共用導體傳播,典型的結構是共電源線和共地線,圖1是典型傳導干擾電路示意圖。R為電源線上電阻,Z為地線上電阻,U為支路電壓,I為支路電流。
[page]

傳導干擾電路
由于各設備工作電壓為

因此任意一個設備電流變化都會導致其它設備電壓變化,產生干擾。要降低設備間的相互影響,需要減小R、Z和I值。

感應干擾
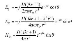
感應干擾分為電感應干擾和磁感應干擾兩種,其基本電路圖如圖2和圖3。U1為導線1的電壓,I1為導線1上電流,U2為導線2上的干擾電壓,C12為兩導線間的電容,C1g和C2g為導線1、導線2與地的電容,M12為兩回路間互感,R為各電路的電阻。
對電感應電路,
,要減小U2可以減小C12、U1和R,或增大C2g;首要措施是減小C12,方法是增大導線距離或改變導線間介電參數。對磁感應電路,
,L1、L2為兩回路長度,m0為真空磁導率,r為兩回路導線段距離。因此增大r和減小回路面積都能減小M12。 輻射干擾輻射干擾由天線發射,由于通電的導線和電纜可視為等效天線,因此汽車電子設備的線束輻射干擾非常嚴重。根據Maxwell方程,典型單極天線的輻射電磁場為

綜上所述,車外電磁干擾隨作用距離增大而減小,只有當其本身能量非常大,才能對相距較遠的汽車電子設備產生影響。多年研究結果表明,大能量的電磁效應對人體健康存在危害,目前已經制定各種相應的電磁標準來限制這類干擾,使得汽車電子設備受其的影響減小。
車體靜電干擾和車內電磁干擾,因為干擾作用距離近,干擾時間長,干擾強度相對較大。由于汽車電子設備形成以蓄電池和交流發電機為核心電源以及車體為公共地的電氣網絡,各部分線束都會通過電源和地線彼此傳導干擾,相鄰導線間又有感應干擾,而不相鄰導線間也因天線效應而輻射干擾,這就使得車內干擾綜合了三種途徑,干擾組成較多,覆蓋的干擾頻率較廣,是汽車電子設備受到的主要電磁干擾。解決這兩種電磁干擾問題,能同時提高汽車電子設備對車外電磁干擾的抗干擾能力,從而降低設備工作失常或是損壞的可能性。
[page]
提高電子設備電磁兼容性能的措施
汽車電子設備的電磁兼容性能包括兩方面,一是電磁發射,衡量系統產生的電磁干擾的發射水平;二是電磁敏感度,衡量系統在工作時為實現預期技術指標而需要的抵抗電磁干擾的能力。根據前面的分析,要綜合提高汽車電子設備的電磁性能,可以從三方面考慮,一是減小設備發射電磁干擾的強度;二是抑制電磁干擾的傳輸;三是降低設備電磁敏感部件接收干擾的強度。
減小設備的電磁干擾強度
優化設備的電氣結構:汽車電子設備中閃光器是繼電器觸點結構,可以在觸點前加電弧抑制器;電機為感性負載,可通過內部濾波電路降低電流噪聲;各種電控單元的印刷電路板,要優化布線,降低電磁發射水平。
選用合適的電子元器件:汽車上的各種控制單元,采用較低頻的芯片有利于減少輻射干擾。
降低設備的功率:在滿足功能需求的情況下,降低設備的功率,可以減小干擾電壓和電流,從而減小干擾強度。
抑制干擾的傳輸
屏蔽干擾源設備和相關線束:汽車中主要的電控系統使用的電控單元,應該采用屏蔽殼體封裝。
增加線束濾波:對較長的線束,為減小傳導和輻射干擾,應在線束上增加濾波,比較方便的是套接合適的鐵氧體磁環。
合理規劃線束:線束布置上使小功率敏感電路緊靠信號源,大功率干擾電路緊靠負載,盡可能分開小功率電路和大功率電路,減小線束間的感應干擾和輻射干擾。
改進設備的接地:良好的接地布置和改進的地線搭接可以降低高頻阻抗。汽車電子設備接地主要是就近接到車體以及線束屏蔽層接地。
降低設備接收干擾的強度
減小設備接收干擾的面積:線束應設計成最小長度、最小阻抗和最小環路面積,最好采用雙絞線等回路面積小的供電方式。增大設備到干擾源的距離:在干擾設備布置不變的情況下,改造敏感部件的安裝位置,增大到干擾源的距離。
電磁兼容性改進措施的試驗研究
目前,電磁兼容仿真計算通常用來對車體結構的電磁性能進行初步估計。汽車電子設備的電磁性能主要以測試為依據,因此對改進措施著重進行試驗研究。根據汽車整車及零部件的電磁兼容性法規GB18655-2002《用于保護汽車接收機的無線電騷擾特性的限值和測量方法》,對國內一種商務車型的電子設備進行了電磁兼容性測試,采用了綜合改進措施,試驗結果可以比較各種措施在實車運用中的效果。
[page]
雨刮電機的結構調整和內部濾波
雨刮電機是設備中典型的感性負載干擾源,功率較大,采用零部件測試方式對其測量,先對電機的換向器結構做了調整,并在電機內部對電路做了濾波處理。圖4、圖5是改進前后的結果,射頻段干擾也有明顯改進。
雨刮電機的結構調整和內部濾波

閃光器的電路濾波
閃光器是汽車設備中典型的觸點型器件,工作時通斷頻繁,在線束上產生較大傳導干擾,并由此產生較大輻射干擾。通過在閃光器附近加接0.1mF的電容,并在線束上套鐵氧體磁環,構成低通濾波器,抑制其傳導干擾,同時減小輻射干擾。測量采用整車測試的方式,圖 6、圖7是改進前后的測試結果,在10MHz以上降低了干擾水平。
結語
汽車電子設備的電磁兼容性能在國內日益受到重視,它對提高國內汽車產品的競爭力也相當重要。通過對電子設備干擾源的分析,表明車內電磁干擾是設備所受的主要干擾,為減少系統的電磁干擾,需要采用文中的改進措施來提高汽車電子設備的電磁兼容性能,測試表明改進效果都比較明顯。對大多數電氣設備,增強電路濾波是比較通用的改進措施。


