【導讀】作為可編程的邏輯器件,FPGA便于調試、修改、功耗低,能夠完成大量算法。在處理圖像和信號時平方根運算被廣泛使用。在FPGA上利用VHDL和Verilog等編程語言進行硬件設計,存在仿真和校驗效率低、算法復雜等問題。而Python以其簡單、功能強大的特點在此次設計中起到關鍵作用。
一、平方根實現
平方根的FPGA實現方法很多,有的算法為了減少片上資源的使用,邏輯實現上盡量避免使用乘法,比如CORDIC,逐位計算,non-restoring 等,現在FPGA上通常都有硬件乘法器,可采用迭代法和泰勒級數展開,本文采用泰勒級數展開的方法,級數采用5級,系數采用3.15的定點表示形式,小數部分15位,整數部分2位為了保證后續計算結果不溢出,整個位寬為18位,計算公式如式(1)所示:

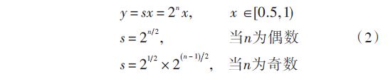
對于輸入x 位于(65 536,0]之間,由于數的范圍較大,通常進行歸一化處理,采用的方法通過左移運算去掉二進制定點數的所有前導零,將輸入的數轉換為定點小數[0.5,1)之間,在完成平方根運算之后,然后根據前導零個數的奇、偶性不同分別進行去歸一化處理,原理如式(2)所示,將輸入數y 分為sx,s=2n,n 即為y 的二進制前導零的個數。

整個過程的設計模塊如圖1所示。

二、定點數表示
通常在FPGA 上的運算可以采用定點和浮點兩種方式來實現,定點運算和浮點運算相比盡管數表示的范圍較小,設計較為復雜,但是速度較快,占用FPGA資源較小,本設計采用定點來完成。平方根的輸入為非負數,包括符號位為定點32位輸入,其中高16位為整數部分,低15位為小數部分,可以直接計算的平方根范圍為(65 536,0],結果采用32位輸出,最高位為符號位,接著的高8位為整數部分,低23位為小數部分。
三、實驗環境
采用MyHDL 0.8,采用GTKWAVE 查看仿真波形,FPGA 器件采用Altera公司CycloneⅡ 2C35F672C6,編譯綜合采用Quartus 12.1sp1 webpack.
四、Python軟硬件協同設計
基于Python 的軟硬件協同設計的過程如圖2 所示,由于本設計最終要在硬件上實現,在設計時Python的硬件設計部分采用MyHDL 可綜合子集,最后使用MyHDL的toVerilog()函數將MyHDL設計自動轉換為相應的Verilog 代碼,由于MyHDL 支持與Verilog 混合仿真,設計時的測試平臺可以重用,仿真速度和設計效率大大提高。在完成基于Python軟硬件設計并仿真正確之后,就可以回到進行傳統的FPGA 設計流程,進行后續的下載,綜合和測試工作。

[page]
五、仿真波形
在設計過程中生成的VCD仿真波形可以隨時采用GTKWAVE 查看,可以便于校驗設計是否正確,最終完成的仿真波形如圖3所示。

六、測試數據,精度及誤差
由于整個過程采用Python設計,Python存在大量的軟件包可以使用,平方根完成的測試數據結果如表1所示,采用基于Python 的繪圖包matplotlib 繪制的當x 在[0.5,1.0]之間時的平方根誤差如圖4所示。


七、綜合結果
在上面仿真校驗符合設計要求后,將Python自動轉換為Verilog描述,采用Quartus編譯綜合,并使用Model-sim仿真的波形如圖5所示,與圖3的Python環境下仿真波形相似,由此可見采用Python的軟硬件協同設計方法能有效地進行FPGA 設計。綜合后FPGA 資源使用情況:LE共1 506個,寄存器64個,嵌入式9位硬件乘法器10個。

結語:本文在FPGA 上利用Python的擴展包MyHDL完成了定點平方根算法,仿真校驗和傳統的設計方法仿真速度更快,效率更高,實現了將軟件算法向硬件轉換,完成軟硬件系統協同設計。
相關閱讀:
專家分析:為何數字電源轉換被拋棄?
簡單電路讓數字電源控制器與模擬控制兼容
電源設計技巧十例:多相數字電源解決方案應對挑戰
相關閱讀:
專家分析:為何數字電源轉換被拋棄?
簡單電路讓數字電源控制器與模擬控制兼容
電源設計技巧十例:多相數字電源解決方案應對挑戰



