1-4.并聯式開關電源
并聯式開關電源的工作原理比較簡單,工作效率很高,因此應用很廣泛,特別是在一些小電子產品中,并聯式開關電源作為DC/DC升壓電源應用最廣。例如,很多使用干電池的手提式電器,由于干電池的電壓一般只有1.5V或3V,為了提高工作電壓,都是使用并聯式開關電源把工作電壓提高一倍。并聯式開關電源的缺點是輸入與輸出共用一個地,因此,容易產生EMI干擾。
1-4-1.并聯式開關電源的工作原理

圖1-11-a是并聯式開關電源的最簡單工作原理圖,圖1-11-b是并聯式開關電源輸出電壓的波形。圖1-11-a中Ui是開關電源的工作電壓,L是儲能電感,K是控制開關,R是負載。圖1-11-b中uo是開關電源輸出電壓,Up是開關電源輸出電壓的峰值,Upa是開關電源輸出電壓的半波平均值。關于半波平均值的概念,后面章節還將陸續詳細解釋。
當控制開關K接通時,輸入電源Ui開始對儲能電感L加電,流過儲能電感L的電流按線性規律增加,電流被轉換化成磁能,并存儲在儲能電感中;當控制開關K由接通轉為關斷的時候,儲能電感會產生反電動勢,反電動勢產生電流的方向與原來電流的方向相同,因此,在負載上會產生很高的電壓。
在Ton期間,控制開關K接通,儲能電感L兩端的電壓eL正好與輸入電壓Ui相等,即:

式中iL為流過儲能電感L電流的瞬時值,t為時間變量,i(0)為開關K接通前瞬間流過儲能電感的電流,i(0)大小與D有關,當占空比D小于或等于0.5時, ;而當D大于0.5時, ,(參考圖13、14、15 ),為了簡單我們先只考慮D≤0.5時的情況,即,i(0)=Ui/R 的情況。
當t = Ton時,流過儲能電感L的電流達到最大值iLm :

式中Ton為控制開關K接通的時間。當圖1-11-a中的控制開關K由接通狀態突然轉為關斷時,儲能電感L會把其存儲的能量(磁能)通過反電動勢進行釋放,儲能電感L產生的反電動勢為:
![]()
式中的負號表示反電動勢eL的極性與(1-35)式中的符號相反,即: K關斷期間電感L產生電動勢的方向與K接通期間電感L產生電動勢的方向正好相反。
對(1-38)式階微分方程進行求解得:

式中C為待定常數,把初始條件(令t = 0)代入上式,很容易就可求出C。由于控制開關K由接通狀態突然轉為關斷時,流過儲能電感L中的電流iL不能突變,即i(Ton+) = i(Toff—),并且正好等于流過儲能電感L的最大電流ILm ,因此(1-39)式可以寫為:

從(1-42)式可以看出,當并聯式開關電源的負載R很大或開路時,輸出脈沖電壓的幅度將非常高,隨后,隨著時間的增長,幅度按指數下降,最后下降到與輸入電壓Ui基本相同,這種情況有時是需要避免的,因為高壓脈沖很容易通過靜電感應,使電路中的其它器件過壓擊穿,或產生EMI干擾。并聯式開關電源輸出電壓經濾波之后,可得到一個高于輸入電壓的輸出電壓,因此并聯式開關電源經常作為倍壓或升壓電源使用。
[page]
1-4-2.并聯式開關電源輸出電壓濾波電路
上面已經知道,當并聯式開關電源不帶輸出電壓濾波電路時,輸出脈沖電壓的幅度將非常高。但在實際應用中,大多數并聯式開關電源輸出電壓還是經過整流濾波后的直流電壓,由于整流濾波電路對尖峰脈沖有平滑濾波、整形的作用,因此,在帶有平滑濾波電路的并聯式開關電源中,其輸出電壓基本不含尖峰脈沖波形。

圖1-12-a是帶有整流濾波功能的并聯式開關電源工作原理圖。圖中,Ui是開關電源的工作電壓、L是儲能電感、eL為儲能電感L兩端產生的反電動勢、K是控制開關、D為整流二極管、C為儲能濾波電容、R是負載、Uo為濾波輸出電壓、Io為流過負載的電流。
圖1-12-b表示并聯式開關電源輸出電壓中各種成份之間的關系。其中,Ui為輸入電壓、 uo為并聯開關K兩端的輸出電壓、Up為輸出電壓uo的峰值,Upa是輸出電壓uo的半波平均值,Ua是輸出電壓uo的平均值,Uo為直流輸出電壓。
帶整流濾波電路的并聯式開關電源,由于濾波電容兩端的電壓不能突變,當開關K兩端輸出的脈沖電壓uo通過整流二極管整流之后,就會被濾波電容進行限幅或嵌位,使輸出脈沖電壓uo的幅度被嵌制在濾波電容器兩端的電壓Uo之上,如果忽略整流二極管的整流壓降,則輸出脈沖電壓uo的幅度Up和濾波電容器兩端的電壓Uo基本相等,此時,被限了幅的輸出脈沖電壓uo的幅度Up,就是被稱為脈沖電壓uo的半波平均值Upa。圖2-12-b中,帶顏色的矩形脈沖,其幅度就等于半波平均值Upa。
圖1-13、圖1-14、圖1-15分別是并聯式開關電源控制開關K工作于占空比D為0.5、< 0.5、> 0.5三種情況時,圖1-12-a電路中各點的電壓、電流波形。實線表示帶整流濾波電路時,控制開關K兩端的輸出電壓波形,虛線表示無整流濾波電路時,控制開關K兩端的輸出電壓波形。圖中Ui是開關電源的輸入電壓,uo是控制開關K兩端的輸出電壓,Up是開關K兩端輸出的峰值電壓,Upa是控制開關K兩端輸出電壓uo的半波平均值,uc是濾波電容兩端的輸出電壓,Uo是開關電源的直流輸出電壓,Ua是開關K兩端輸出電壓的平均值,iL是流過儲能電感L的電流,iLm是流過儲能電感L電流的最大值,Io是流過負載R的電流(平均值)。

圖2-13-a、圖2-14-a、圖2-15-a分別為開關電源工作于臨界電流連續、電流不連續、電流連續狀態時,圖2-12-a電路中各點的電壓、電流波形。圖2-13-b、圖2-14-b、圖2-15-b分別為3種狀態之下,濾波電容兩端的紋波電壓波形。圖2-13-c、圖2-14-c、圖2-15-c分別為3種狀態之下,流過儲能電感的電流波形。不過,圖中這些波形相對來說還是比較粗略和簡單的,如需要對它們更嚴密的表達和分析,請參考后面圖1-24和圖1-25相關的內容。


在圖1-12-a中,當控制開關K接通時,輸入電源Ui開始對儲能電感L加電,流過儲能電感L的電流iL開始增加,同時電流在儲能電感L中也要產生反電動勢eL;當控制開關K由接通轉為關斷的時候,在儲能電感L兩端就會產生反電動勢eL。eL反電動勢的方向與開關K關斷前的方向相反,但與電流的方向相同,因此,在控制開關K兩端的輸出電壓uo等于輸入電壓Ui與反電動勢eL之和。
[page]
因此,在Ton期間:

(1-44)式中iL為流過儲能電感L的電流(瞬時值),t為時間變量;i(0)為的初始電流,即:控制開關K接通前的瞬間流過儲能電感L中的電流。當開關電源工作于電流臨界連續狀態,或不連續電流狀態時(即D≤0.5),i(0) = 0 ,由此可以求得流過儲能電感L的最大電流為:

帶濾波電路的并聯式開關電源,由于濾波電容兩端的電壓不能突變,當開關K兩端輸出的脈沖電壓uo通過整流二極管整流之后,就會被濾波電容進行限幅,使輸出脈沖電壓uo的幅度被嵌制在濾波電容器兩端的電壓uc之上,如果忽略整流二極管的整流壓降,則輸出脈沖電壓uo的幅度Up和濾波電容器兩端的電壓uc在數值上基本相等(忽視紋波電壓),并等于輸出電壓Uo。此時,被限了幅的輸出脈沖電壓uo的幅度Up,就稱為脈沖電壓uo的半波平均值Upa,即:Up = Upa 。圖2-12-b中,脈沖電壓uo中帶顏色的部分就等于其半波平均值Upa 。關于半波平均值的概念,后面章節還會有更詳細的說明。
因此,在控制開關K關斷的Toff期間,儲能電感L產生的電動勢將與輸入電壓Ui串聯迭加,通過整流二極管D繼續向負載R提供能量,在此期間儲能電感L兩端的電壓eL為:

式中i(Ton+) 為控制開關K從Ton轉換到Toff的瞬間之前流過電感的電流,i(Ton+)也可以寫為i(Toff-),即:控制開關K關斷或接通瞬間,之前和之后流過電感L的電流相等。實際上(1-47)式中的i(Ton+) 就是(1-45)式中的iLm,因此,(1-47)式可以改寫為:

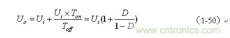
當并聯式開關電源工作于電流臨界連續狀態時,流過儲能電感的初始電流i(0)等于0(參看圖1-13),即:(1-49)式中流過儲能電感電流的最小值iLX等于0。因此,由(1-45)和(1-49)式,可求得并聯式開關電源輸出電壓Uo為:

(1-50)式就是并聯式開關電源工作于電流臨界連續狀態時輸出電壓的表達式。一般,并聯式開關電源的輸出電壓Uo都是取自并聯開關K兩端輸出脈沖電壓uo的半波平均值Upa,經整流濾波以后儲能濾波電容C兩端的輸出電壓基本就是Upa ,即:

這里特別指出:(1-50)和(1-52)式的結果,雖然是以開關電源工作于電流臨界連續狀態的條件求得,但對于開關電源工作于連續電流狀態或斷流狀態同樣成立,因為,輸出電壓Uo是取自輸出脈沖電壓uo的半波平均值Upa,而不是取其平均值Ua。
同圖中可以看出,并聯式開關電源輸出電壓中各電壓成分Up、Upa、Uo的高低,均與占空比有關,但其輸出電壓的平均值Ua與占空比D的大小無關,并聯式開關電源輸出電壓uo的平均值Ua與輸入電壓Ui的大小相等,即:

另外,當并聯式開關電源的占空比D大于0.5時,表示開關電源工作于電流連續狀態,即,流過儲能電感L的電流不會斷流,這種情況相當于在儲能電感L中加了一個偏流,當偏流過大時,儲能電感L很容易產生磁飽和,因為儲能電感L一般都要帶磁芯。因此,在進行電路參數設計時,不要把占空比選得過大,并且磁芯還要留一定的氣隙,以防止磁芯飽和。
[page]
1-4-3.并聯式開關電源儲能電感的計算
與前面計算反轉式串聯開關電源中儲能電感的數值方法基本相同,計算并聯式開關電源儲能電感也是從流過儲能電感的電流為電流臨界連續狀態著手進行分析。并聯式開關電源中的儲能電感與反轉式串聯開關電源中的儲能電感工作原理基本一樣,都是在控制開關K關斷期間才產生反電動勢向負載提供能量,因此,當D = 0.5時,流過負載的電流只有流過儲能電感電流的四分之一。
根據(1-45)式:

式中Io為流過負載的電流,當D = 0.5時,其大小等于最大電流iLm的四分之一;T為開關電源的工作周期,T正好等于2倍Ton。
由此求得:

(1-55)和(1-56)式,就是計算并聯式開關電源儲能電感的公式。同理,(1-55)和(1-56)式的計算結果,只給出了計算并聯式開關電源儲能電感L的中間值,或平均值,對于極端情況可以在平均值的計算結果上再乘以一個大于1的系數。
對于儲能電感取不同數值和在不同的占空比狀態下工作的情況分析,請參考前面關于“反轉式串聯開關電源儲能電感的計算”內容的論述。
[page]
1-4-4.并聯式開關電源儲能濾波電容的計算
并聯式開關電源儲能濾波電容的計算,可以參考前面串聯式開關電源或反轉式串聯開關電源中儲能濾波電容的計算方法,同時還可以參考圖1-6中儲能濾波電容C的充、放電過程。
這里要特別注意的是,并聯式開關電源與反轉式串聯開關電源中的儲能電感一樣,僅在控制開關K關斷期間才產生反電動勢向負載提供能量,因此,即使是在占空比D等于0.5的情況下,儲能濾波電容器充電的時間與放電的時間也不相等,電容器充電的時間小于半個工作周期,而電容器放電的時間則大于半個工作周期,但電容器充、放電的電荷是相等的,即電容器充電時的電流大于放電時的電流。
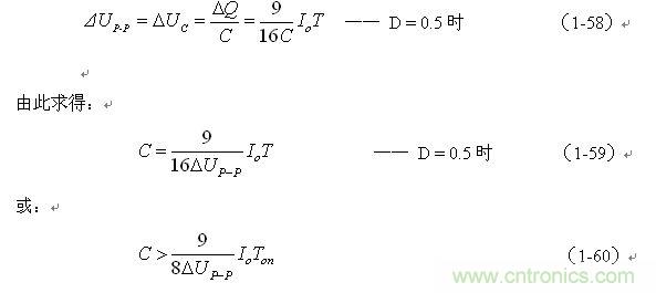
從圖1-13可以看出,并聯式開關電源,流過負載的電流比串聯式開關電源流過負載的電流小一倍,流過負載的電流Io只有流過儲能電感最大電流iLm的四分之一。在占空比D等于0.5的情況下,電容器充電的時間為
,電容充電電流的平均值為
,或
;而電容器放電的時間為
,電容放電電流的平均值為0.9 Io。因此有:

式中ΔQ為電容器充電的電荷,Io為流過負載的平均電流,T為工作周期。電容充電時,電容兩端的電壓由最小值充到最大值,放電時,電容兩端的電壓又由最大值下降到最小值,對于電容兩端的電壓變化量均為ΔUc,此電壓變化量正好就是輸出電壓的紋波。由此可求得輸出電壓的紋波ΔUP-P為:

(1-59)和(1-60)式,就是計算并聯式開關電源儲能濾波電容的公式。式中:Io是流過負載電流的平均值,T為開關工作周期,ΔUP-P為濾波輸出電壓紋波,此紋波電壓ΔUP-P實際上就是電容器兩端的充放電電壓增量,即:ΔUP-P = ΔUc 。
同理,(1-59)和(1-60)式的計算結果,只給出了計算并聯式開關電源儲能濾波電容C的中間值,或平均值,對于極端情況可以在平均值的計算結果上再乘以一個大于1的系數。
當開關K工作占空比D小于0.5時,由于流過儲能電感L的電流會不連續,電容器放電的時間將遠遠大于電容器充電的時間,因此,開關電源濾波輸出電壓的紋波將顯著增大。另外,開關電源的負載一般也不是固定的,當負載電流增大的時候,開關電源濾波輸出電壓的紋波也將會增大。因此,設計開關電源的時候要留有充分的余量。實際應用中,最好按(1-59)式計算結果的2倍以上來計算儲能濾波電容的參數,因為大多數濾波電容都是選用電解電容,而電解電容的容量很不穩定,其容量受溫度影響很大,并且隨著使用時間的增長,其容量也會慢慢地變小。
快到年底了,陶老師又為大家帶來了開關變壓器的工作原理和設計,作為新年的福利,請大家關注,本站將陸續為大家分享出來!
相關閱讀:
反轉式串聯開關電源的工作原理及電路參數的計算
——陶顯芳老師談開關電源原理與設計
http://m.tzzsdz.com/power-art/80022150
串聯式開關電源工作原理及電路參數的計算
——陶顯芳老師談開關電源原理與設計
http://m.tzzsdz.com/power-art/80022144
陶老師談:單激式變壓器開關電源的工作原理
http://m.tzzsdz.com/power-art/80022120
陶顯芳老師談開關電源原理與設計
http://m.tzzsdz.com/power-art/80021940


