原邊反饋方式的AC/DC控制技術是最近10年間發展起來的新型AC/DC控制技術,與傳統的副邊反饋的光耦加431的結構相比,其最大的優勢在于省去了這兩個芯片以及與之配合工作的一組元器件,這樣就節省了系統板上的空間,降低了成本并且提高了系統的可靠性。在手機充電器等成本壓力較大的市場,以及LED驅動等對體積要求很高的市場具有廣闊的應用前景。
在省去了這些元器件之后,為了實現高精度的恒流/恒壓(CC/CV)特性,必然要采用新的技術來監控負載、電源和溫度的實時變化以及元器件的同批次容差,這就涉及到初級(原邊)調節技術、變壓器容差補償、線纜補償和EMI優化技術。
初級調節的原理是通過精確采樣輔助繞組(NAUX)的電壓變化來檢測負載變化的信息。當控制器將MOS管打開時,變壓器初級繞組電流ip從0線性上升到ipeak,公式為
![]()
此時能量存儲在初級繞組中,當控制器將MOS管關斷后,能量通過變壓器傳遞到次級繞組,并經過整流濾波送到輸出端VO。在此期間,輸出電壓VO和二極管的正向電壓VF被反射到輔助繞組NAUX,輔助繞組NAUX上的電壓在去磁開始時刻可由公式
![]()
表示,其中VF是輸出整流二極管的正向導通壓降,在去磁結束時刻可由公式
![]()
表示,由此可知,在去磁結束時間點,次級繞組輸出電壓與輔助繞組具有線性關系,只要采樣此點的輔助繞組的電壓,并形成由精確參考電壓箝位的誤差放大器的環路反饋,就可以穩定輸出電壓VO。這時的輸出電流IO由公式

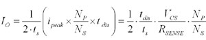
表示,其中VCS是CS腳上的電壓,其他參數意義如圖1所示。這是恒壓(CV)模式的工作原理。

圖1原邊控制應用框圖及主要節點波形圖。
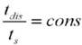
當負載電流超過電流極限時,負載電流會被箝位在極限電流值,此時系統就進入恒流(CC)模式,這里對IO的公式需要加一個限定條件即

即去磁時間與開關周期的比例保持一個常數,這樣在CC模式下的輸出電流公式變成了
![]()
其中C1是一個小于0.5的常數,VCSLMT是CS引腳限壓極限值。
在使得去磁時間與開關周期的比例保持一個常數后,輸出的電壓和電流就都與變壓器的電感值無關了,因此在實用層面上降低了應用方案對同批次電感感值一致性的要求,從而降低了大規模生產加工的成本。
與此同時,原邊反饋系統還會面臨線纜壓降的問題。因為系統不是直接采樣輸出端(次級繞組整流后)的電壓,而是通過采樣輔助繞組的去磁結束點的電壓來控制環路反饋的,因此,當輸出線較長或者線徑較細時,在負載線上會存在較大的內阻(例如在充電器方案中)。在負載電流變化較大的情況下,輸出線的末端電壓也會有較大變化。在CV模式下,這種變化在某些場合是不能接受的,因此,原邊反饋驅動芯片還應該提供對線纜壓降補償的功能,這個功能通常是通過在INV腳上拉一個小電流來實現的。通過預估補償值來調節連接在INV腳上的分壓電阻的總阻值(分壓比例不變),從而補償不同負載線型和負載大小帶來的線纜壓降,以維持CV曲線的水平性(如圖2中的CV曲線)。

圖2原邊反饋AC-DC控制器的工作模式示意圖。
此外,一款好的原邊反饋AC-DC控制器還應該具備優秀的EMI特性,對于傳導和輻射這兩方面的干擾都應該盡可能降低,目前常見的做法是采用抖頻技術和驅動信號柔化技術。抖頻技術是指在開關頻率的基頻基礎上引入一個小幅度的頻率變化值,以此來降低在開關頻率點上的頻譜能量強度,優化EMI特性。而驅動信號柔化技術則是指將驅動MOS管柵極的驅動信號的開啟沿(上升沿)變得比較平滑,以減小MOS管開啟瞬間的能量傳導和輻射,從而進一步優化EMI特性。
芯聯半導體推出的CL1100就是一款具備初級(原邊)調節技術、變壓器容差補償、線纜補償和EMI優化技術的原邊反饋AC-DC控制器,并且具有多種保護功能,例如軟啟動、逐周期的過流保護(OCP)、CS采樣端前沿消隱(LEB)、以及過壓保護(OVP)和欠壓保護(UVLO)。實測的CL1100的恒壓/恒流特性曲線如圖3所示,該芯片可將恒壓/恒流精度都控制在±3%之內。

總結
隨著小功率隔離AC-DC應用向更低成本和更小體積的趨勢發展,原邊反饋方式的AC-DC控制芯片應運而生。為了滿足高精度的恒流和恒壓應用要求,原邊反饋控制芯片采用了初級(原邊)調節技術、變壓器容差補償、線纜補償和EMI優化技術。這些技術的采用保證了原邊反饋方式的AC-DC控制芯片對于應用電源范圍,不同特性的負載以及元器件批次容差都具有了很強的適應性,因而成為一種可以廣泛應用于不同場合的控制技術。


