- 現有電量測量技術存在的問題
- 電池容量的動態監測法
- 電量監測計測試結果對比
- 使用動態模擬算法學習并跟蹤電池特性
- 定期進行完整周期容量校正
電源管理系統面對的最大難題是如何延長電池的運行時間。除了尋找能量密度更高的新式電源外,系統設計師也在尋找盡可能高效地利用電池電能的方法。他們大多將注意力集中在提高DC/DC轉換效率上,由此延長電池運行時間,而往往忽略了與電源轉換效率及電池容量同等重要的電池電量監測計精確度的問題。如果電池電量監測計的誤差范圍是±10%,則為了防止丟失關鍵數據,系統只能利用90%的電池電能。這相當于損失了10%的電池容量或電池運行時間。
無線接入賬戶管理、數據處理及醫療監控等許多移動應用對剩余電池容量測量精度的要求很高,以避免因電池耗盡造成突然關機。然而,保證在電池整個生命周期、過溫狀態或使用負載時的剩余電能的測量精度很困難,終端用戶,甚至一些系統設計師都低估了這一點。主要原因是電池可用電能與其放電速度、工作溫度、老化程度及自放電特性具有函數關系。開發一種算法來精確定義電池自放電特性及老化程度對電池容量的影響幾乎是無法實現的。再者,傳統的電池電量監測計要求對電池完全充電和完全放電以更新電池容量,這在現實應用中很少發生,因而造成了更大的測量誤差。所以,在電池運行周期內很難精確預測電池剩余容量及工作時間。
本文將介紹如何利用最新的電池電量測量技術一一阻抗跟蹤測量技術解決上述難題,文中還將列舉單節鋰離子電池組解決方案的簡單設計案例。
現有電量測量技術存在的問題
鋰離子電池容量的下降是電池運行時間縮短的主要原因,這種誤解普遍存在。實際上,電池阻抗持續增加(而不是電池容量下降)是導致電池運行時間縮短、系統提前關機的關鍵因素。在電池充放電100個周期左右的時間內,電池容量僅下降5%,而電池的DC阻抗升高比例卻達到一倍或兩倍因子級別。老化電池阻抗提高的直接結果是負載電流引起的內部壓降增大。結果,老化電池達到系統最小工作電壓(或稱為終止電壓)的時間要遠遠早于新電池。
傳統的電池電量測量技術主要是基于電壓和庫侖計數算法開發的,在測量性能方面局限性很明顯。由于成本低且實現簡單,基于電壓的測量方法廣泛用于手機等手持設備,但使用一段時間后電池阻抗會發生變化,影響該方法的測量精度。電池電壓可由下式得出:
其中,Vocv為電池開路電壓,RBAT為電池內部DC阻抗。從圖1可以看出,老化電池的電壓比新電池要低,會使系統關機時間提前。

負載情況及溫度的變化會使電池可用容量最多減少50%。大多數終端用戶在使用未裝配真正電量監測計的便攜式設備時,都經歷過電池耗盡引起突然關機的情況。另一方面,庫侖計數法采取的是另一種方法:通過不間斷地進行庫侖積分,計算出消耗的電荷量及充電狀態(SOC),而全部容量是已知的,因此,可以得到剩余容量值。這種方法的缺點是難以精確量化(model)自放電電量,而且,由于該方法不進行周期性地完整周期校正,導致測量誤差隨著時間的推移越來越大。這些算法都沒有解決電池阻抗的變化問題。為了防止突然關機,設計人員必須提前終止系統運行、保留更多能量,這導致大量電能被浪費。
[page]
電池阻抗及化學容量的動態監測
阻抗跟蹤(IT)技術非常獨特,比現有解決方案更為精確,原因是該技術具有的自學習機制能解決導致電池阻抗及空載條件下化學全容量(QMAX)發生變化的老化問題。阻抗跟蹤技術使用動態模擬算法學習并跟蹤電池特性,即在電池實際使用過程中,先測量阻抗及容量值,然后跟蹤其變化。使用該算法則無需定期進行完整周期容量校正。
利用電池阻抗知識,能夠實現精確的負載及溫度補償。最重要的是,通過對電池參數的動態學習,該測量法在電池的整個使用壽命內都能對電量進行精確的測量。與單獨使用庫侖計數法或電池電壓相關法相比,阻抗跟蹤技術在測量電池剩余容量方面更加出色。
IT在運行過程中,需要持續對保持電池阻抗(RBAT)與放電深度(DOD)和溫度之間函數關系的表格數據庫進行維護。了解不同狀態下所發生的操作有助于確定何時需要更新或使用這些表格。測量計中,非易失存儲器存有多個定義充電、放電、充電后松弛、放電后松弛等狀態的電流閾值。停止充電后或停止放電后,"松弛時間"能夠使電池電壓穩定下來。
手持設備開機前通過測量電池開路電壓(OCV),然后與OCV(DOD,T)表進行比較的方法確定電池精確的充電狀態。當手持設備處于活動狀態并接入負載,則開始執行基于電流積分的庫侖計數算法。庫侖計數器測量通過的電荷量并進行積分,從而不間斷地算出SOC值。
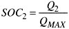
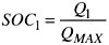
總容量QMAX可以通過當電池在充電或放電前后電壓變化足夠小、處于全松馳狀態時的兩個OCV讀數算出。例如,電池放電前,SOC可由下式得出:
電池放電且通過電荷為ΔQ時,SOC可由下式得出:
兩式相減得出:
從等式可以看出,無需經歷完全充電及放電的周期即可確定電池總容量。這也省去了電池組生產過程中耗費時間的電池學習周期。
RBAT(DOD,T)表在放電過程中得到持續更新。IT利用該表計算出在當前負載及溫度條件下,何時達到終止電壓。電池整體阻抗隨著電池老化和充放電周期的增加而增加。阻抗可由下式得出
有了電池阻抗信息,利用只讀存儲器中的程序指令包含(inthefirmware)的電壓仿真算法就可以確定剩余電量(RM)。仿真算法先算出當前SOCstart值,然后計算出在負載電流相同,且SOC值持續降低的情況下未來的電池電壓值。當仿真電池電壓VBAT(SOCI,T)達到電池終止電壓(典型值為3.OV)時,獲取與此電壓對應的SOC值并記做SOCFINAL。
阻抗跟蹤單節電池電量監測計測試結果
阻抗跟蹤鋰離子單節電池組電路如圖2所示。通過BAT2引腳輸入端測量電池電壓,通過庫侖計數器差動信號輸入端(SRP及SRN)監測電流。系統利用電量監測計從單線SDQ通信端口獲得SOC及運行時間接近結束(Run-Time-to-Empty)等信息。

即使在負載變化的情況下,IT電量監測計也能正確預測電池的剩余電量。例如,數碼相機處于不同工作模式時,電池的負載也不同。圖3顯示了IT電量監測計如何精確預測電池剩余電量。剩余電量預測的誤差率可小于1%。并且,由于用以預測剩余電量的電池阻抗及老化作用能夠得到實時更新,故在電池整個使用壽命內均可保持這種微小誤差。

阻抗跟蹤電池電量監測計綜合了庫侖計數算法和電壓相關算法的優點,實現了更高的電池電量監測精度。在放松狀態下測量OCV可以獲得準確的SOC值。由于所有自放電活動都在電池OCV降低過程中反應出來,所以無需進行自放電校正。當設備處于活動模式且接入負載時,開始執行基于電流積分的庫侖計數算法。電池阻抗通過實時測量得到更新。



