【導讀】在CTSD精密ADC系列文章的第3部分,我們將重點闡述CTSD ADC的無混疊特性,它可在不增加任何外圍設計的情況下提高抗干擾能力。第1部分 展示了一種新的基于連續時間∑-? DAC(CTSD)架構、易于使用的無混疊精密ADC,可提供簡單、緊湊的信號鏈解決方案。 第2部分 向信號鏈設計人員介紹了CTSD技術。本文比較了現有精密ADC架構的混疊抑制解決方案背后的設計復雜性。我們將闡述一個理論,以此說明CTSD ADC架構本身固有的混疊抑制性能。我們還展示如何簡化信號鏈設計,并探討CTSD ADC的擴展優勢。最后,我們將介紹新的測量和性能參數,以量化混疊抑制。
在聲納陣列、加速度計、振動分析等許多應用中,將會監測到目標信號帶寬以外的信號,這些信號稱為干擾源。對于信號鏈設計人員來說,關鍵挑戰在于,ADC采樣會導致這些干擾源混疊進入目標信號帶寬(帶內),造成性能下降。除此之外,在聲納等應用中,帶內混疊的干擾源可能會被誤解為輸入信號,導致對聲納周圍物體的誤判。而混疊抑制解決方案正是造成傳統ADC信號鏈設計極其復雜的原因之一。CTSD ADC本身具有混疊抑制特性,這一獨特特性帶來了一種新的簡化解決方案。在探討這種突破性解決方案之前,我們先了解一下混疊概念。
回顧奈奎斯特采樣準則
為了理解混疊的概念,讓我們快速回顧一下奈奎斯特采樣準則。我們可以在時域或頻域中分析信號。在時域中,對模擬信號的采樣可通過數學方式表示為信號乘法運算,例如,x(t)表示脈沖序列δ(t),其時長為Ts。

圖1.采樣過程的時域表示。
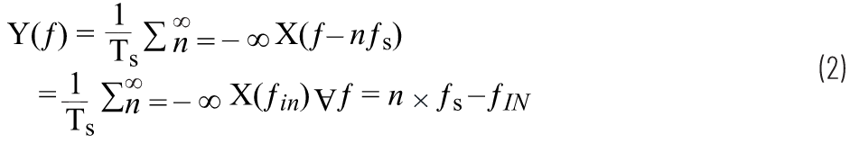
同樣,在頻域中,采樣輸出可以用傅里葉級數表示為:
通過公式1可以看出,如果將頻率軸展開,將會在每一個采樣頻率fs的整數倍位置形成輸入信號的圖像。

圖2.以不同的采樣頻率采樣后的X(f)表示
公式1顯示,在頻率f = n × fs - fIN時,其中n = 0、±1、±2......,信號內容X(f) 將在采樣后出現在fIN位置,與圖2中的欠采樣場景相似,該圖顯示了各種條件下的采樣現象。


圖3.(A)根據采樣準則來理解混疊和(b)使用抗混疊濾波器來衰減混疊頻率。
總之,奈奎斯特準則指出,任何大于采樣頻率一半的信號會被折疊或反射回低于fs/2的頻率,并且可能會落入目標頻段內。
假設ADC在頻率fs下采樣,而系統中有兩個帶外信號音/干擾源,分別是ADC輸入端的f1和f2,如圖3所示。根據奈奎斯特準則,我們可以推斷,由于信號音f1的頻率小于fs/2,所以采樣后其頻率保持不變。當信號音f2的頻率大于fs/2時,它會在目標頻段fbw_in中產生混疊,并降低ADC在該區域的性能,如圖3a所示。
此理論也適用于fs/2以上的噪聲,它也可以折疊并出現在帶內,會增加帶內的本底噪聲并降低性能。
現有的混疊抑制解決方案
為了避免這種由帶外(OOB)信號音或噪聲折疊導致的性能下降,可以使用一種簡單的解決方案,即通過ADC采樣之前,使用低通濾波器對超過fs/2的信號內容實施衰減,該濾波器稱為抗混疊濾波器(AAF)。圖3b顯示了一個簡單AAF的傳遞函數,以及頻率f2處的衰減-混疊信號音在帶內折疊之前的狀態。這種AAF的主要特性參數是濾波器的階數和–3 dB轉角頻率。它們由通帶平坦度、特定頻率(如采樣頻率)所需的絕對衰減,以及輸入帶寬(也稱為過渡帶)以外所需的衰減斜率決定。一些常見的濾波器架構包括巴特沃茲、切比雪夫、貝塞爾和Sallen-Key,可以使用無源RC和運算放大器來實現。 濾波器設計工具 可用于幫助信號鏈設計人員根據給定的架構和要求進行AAF設計。
讓我們以一個應用示例來了解抗混疊濾波器的要求。在潛艇系統中,聲納傳感器發射聲波并分析水下回聲,以估計周圍物體的位置和距離。該傳感器的輸入帶寬為100 kHz,系統將在ADC輸入端檢測到的幅度>–85 dB的信號音作為有效的回聲源。所以,來自帶外的任何干擾都需要由ADC衰減至少–85 dB,以免被聲納系統檢測為輸入。在下一節中,我們將針對這些要求構建并比較不同ADC架構的混疊抑制解決方案。
在傳統ADC架構中,如逐次逼近寄存器(SAR)和離散時間Σ-Δ (DTSD) ADC,采樣電路位于ADC的模擬輸入端,這表明需要在ADC輸入之前使用AAF,如圖3b所示。
SAR/奈奎斯特采樣ADC的AAF要求
SAR ADC的采樣頻率一般設置為模擬輸入頻率(fIN)的2倍或4倍。這種ADC的AAF需要在頻率fIN外有一個窄過渡帶,這意味著需要一個高階濾波器。從圖4可以看出,采樣頻率約1 MHz的SAR ADC需要使用五階巴特沃茲濾波器才能在大于100 kHz的頻率下實現–85 dB抑制。對于濾波器實現方案,隨著濾波器的階數增加,所需的無源和運算放大器數量也會增加。這意味著,SAR ADC的AAF在信號鏈設計中需要大量的功耗和面積預算。
DTSD ADC的AAF要求
Σ-Δ ADC是過采樣ADC,其中采樣頻率遠高于模擬輸入頻率。AAF設計中要考慮的混疊區域為fs ± fIN。濾波器的過渡帶則要求從fIN至極高的fs。與SAR ADC AAF相比,這個過渡帶更寬,說明所需的AAF階數也更低。從圖4可以看出,對于采樣頻率為6 MHz的DTSD ADC,如需在約fs – 100 kHz左右的頻率下獲得–85 dB混疊抑制,一般需要使用一個二階AAF。
在實際應用中,頻帶內的任何位置都可能存在干擾或噪聲,并不止限于采樣頻率fs附近。任何低于fs/2的頻率信號音(如圖3中頻率f1下的信號音)都不會出現在帶內,從而不會降低ADC性能。雖然AAF可以對信號音f1進行一定程度的衰減,但它仍會存在于ADC輸出中,屬于外部數字控制器必須處理的多余信息。這種信號音是否可以進一步衰減,使其不再出現在ADC輸出中?一種解決方案是使用在頻率fIN外具有窄過渡帶的AAF,但這會增加濾波器設計的復雜性。另一種解決方案是:使用∑-?調制器環路中的片內數字濾波器。

圖4.AAF的復雜性、ADC架構和目標頻段。

圖5.前端具有AAF、后端具有數字濾波器的DTSD ADC的STF。
∑-?調制器環路的數字濾波器
在Σ-Δ ADC中,由于過采樣和噪聲整形,調制器輸出中包含大量冗余信息,因此需要外部數字控制器進行大量處理。如果對調制器數據進行平均、濾波,并以較低的輸出數據率(ODR)(通常為2 × fIN)提供,就可以避免這種冗余信息處理。利用抽取濾波器可以將采樣速率從fs轉換為所需的較低ODR。關于使用數字濾波器實現采樣速率轉換,我們將在以后的文章里說明,這里的關鍵點是離散時間Σ-Δ調制器通常與片內數字濾波器配合使用。前端具有模擬濾波器、后端具有數字濾波器的調制器的組合信號干擾傳遞函數(TF)如圖5所示。
綜上所述,DTSD ADC的AAF是基于混疊區域fs周圍的信號音所需的衰減而設計的。非混疊區域(例如f1)中的信號音則完全由片內數字濾波器進行衰減。
后端數字濾波器和前端模擬濾波器
SAR ADC要求AAF具有窄過渡帶,而Σ-Δ ADC則要求數字濾波器具有窄過渡帶。數字濾波器功耗低,易于集成到片內。此外,對數字濾波器的階數、帶寬和過渡帶進行編程要比模擬濾波器簡單的多。
過采樣的優點在于:它允許在后端組合使用寬過渡帶模擬濾波器和窄過渡帶數字濾波器,以提供功耗、尺寸和抗干擾性能都更優越的解決方案。
使用DTSD ADC之后,雖然AAF要求有所放松,但增加了設計復雜性,以滿足每次采樣之后的建立時間要求,從而避免信號鏈性能下降。信號鏈設計人員面臨的挑戰是:對AAF進行微調,在混疊抑制需求和輸出穩定需求之間尋求平衡。
新型精密CTSD ADC無需進行前端模擬濾波器設計,從而簡化了信號鏈設計。
CTSD ADC的固有混疊抑制
本系列文章的 第二部分 介紹由閉環電阻反相放大器構建的一階CTSD調制器,如圖6所示。CTSD調制器遵循與DTSD調制器等效產品相同的過采樣和噪聲整形概念,以達到預期性能,并且具有電阻輸入而不是開關電容輸入。調制器構建模塊包括一個連續時間積分器,后接一個量化器,用于對積分器輸出采樣和數字化處理,以及一個反饋DAC,用于閉合輸入環路。量化器輸入端的任何噪聲都是通過積分器的增益傳遞函數整形的噪聲。

圖6.(a) CTSD調制器環路的構建模塊和(b)用于數學分析的簡化框圖。
根據 第2部分的信息,可以使用以下數學模型繪制CTSD調制器環路的簡化框圖:
● 積分器傳遞函數一般稱為H(f),也稱為環路濾波器。對于一階積分器,H(f) = 1/2πRC。
● ADC的功能是采樣和量化。因此,用于分析的簡化ADC模型使用一個采樣器后接一個加性量化噪聲源。
● DAC是一個在當前時鐘周期內用一個常數乘以輸入的模塊。所以,它是一個在采樣時鐘周期內具有恒定脈沖響應,在余下的時間里脈沖響應為0的模塊。
這些簡化模型的等效框圖如圖6b所示,可廣泛用于∑-?性能分析。從VIN至VOUT的傳遞函數稱為信號TF (STF),從Qe到輸出的函數則稱為噪聲TF (NTF)。
對于CTSD調制器環路固有的混疊抑制特性,一個合理的解釋是:采樣不是直接發生在調制器的輸入端,而是發生在環路濾波器H(f)之后,如圖6a所示。為了解整體情況,將使用不含采樣器的線性模型來理解該概念,并將分析范圍擴大到涵蓋帶有采樣器的環路。
第1步:使用線性模型實施STF和NTF分析
為了簡化分析將采樣器忽略之后,線性模式應如圖7所示。此環路的STF和NTF可以表示為

根據公式3,STF可改寫為
目標頻率帶寬為低頻率,用數學方法可以表示為f→0,高頻率可以表示為f→∞。STF和NTF的幅度(單位:dB)為頻率的函數,如圖7所示。

圖7.(a)用于簡化分析的線性模型,(b) STF(f) = H(f) × NTF(f)。

圖8.(a) 一個CTSD調制器環路框圖,輸入 = 0 V,(b) 調制器環路的NTF。

圖9.重新布局調制器環路,以顯示其固有的混疊抑制特性。
NTF類似于高通濾波器,STF類似于低通濾波器,在目標頻段內具有平坦的0 dB幅度,在高頻率下的衰減與AAF TF相當。從數學角度來看,信號通過具有高增益的低通濾波器配置H(f),然后由NTF環路處理。現在,在理解了NTF框圖之后,可以進一步深化了解帶有采樣器的環路。
第2步:NTF的框圖
當輸入VIN設置為0 V時,調制器環路框圖可以如圖8a所示重新排列,用于表示NTF。環路中包含采樣器時,NTF響應與線性模型類似,但在fs的倍數位置都會顯示復制圖像,如圖8b所示。
第3步:重新布局調制器環路,以直觀顯示前置濾波操作
如果將環路濾波器H(f)和調制器環路的采樣器移動到輸入端,且反饋如圖9所示,那么輸入到輸出的傳遞函數不會發生改變。重新布局后的框圖右側表示NTF。
與第1步中的線性模型類似,在采樣等效系統中,輸入信號經過高增益H(f),然后通過NTF環路進行采樣和處理。信號通過環路濾波器之后的橫向部分,會在進行采樣之前,構成低通濾波器配置。這種配置導致產生CTSD調制器的固有混疊抑制。因此,CTSD調制器環路的STF如圖9所示。
第4步:使用一個數字濾波器完成STF
為了減少多余的高頻信息,CTSD調制器與片內數字抽取濾波器配合使用,組合混疊抑制TF如圖10所示。fs附近的混疊利用CTSD的固有混疊抑制特性進行衰減,中間干擾源則由數字濾波器衰減。
圖4比較了SAR ADC、DTSD ADC和CTSD ADC在采樣頻率和輸入信號帶寬下實現–80 dB混疊抑制時所需的AAF階數。使用SAR ADC時,AFF的階數最高,所以復雜性也最高,CTSD ADC則不需要使用外部AAF,因為其設計本身具有混疊抑制性能。
利用CTSD架構實現信號鏈的優勢
在聲納波束成型和振動分析等某些多通道應用中,通道間的相位信息非常重要。例如,通道間的相位需要精確匹配,在20 kHz時達到0.05°的精度。
對于傳統的ADC信號鏈,AAF設計中采用無源RC和運算放大器。濾波器會導致帶內出現一定的幅度和相位下降,下降比例為轉角頻率的函數。為了實現良好的通道間相位匹配,所有通道需要具有相同的下降幅度,這表明需要對每個通道的濾波器轉角頻率進行精細控制和匹配。設計用于在16 MHz(采樣頻率)以及160 kHz f3dB(輸入帶寬)下實現–80 dB抑制的二階巴特沃茲濾波器,在20 kHz時可能存在±0.15°的相位失配,且誤差公差可能低至RC絕對值的1%。可用的較小誤差容限RC無源器件有限,且會增加物料成本(BOM)。
由于CTSD ADC信號鏈中無需使用AAF,因此在目標頻段內自然可以實現通道間幅度和相位匹配。相位失配受到模擬調制器環路設計的片內失配限制,在20 kHz時可低至±0.02°。

圖10.帶有后端數字濾波器的CTSD調制器環路。
測量和量化固有混疊抑制
AD4134是一款基于CTSD ADC架構的精密ADC,其數據手冊中介紹了用于測量混疊抑制的新功能檢查。對ADC的模擬輸入信號頻率進行掃描,并通過測量測試頻率信號音相對于所用信號音的折疊幅度(如果有)來計算每個帶外輸入信號的影響。
圖11顯示性能帶寬為160 kHz、采樣頻率為24 MHz時,AD4134對帶外頻率的混疊抑制性能。對于23.84 MHz (fs – 160 kHz)頻率,混疊抑制為–85 dB,這是ADC的混疊抑制技術規格。從圖中還可以看出,對于其他中間頻率,混疊抑制高于–100 dB。有關固有混疊抑制的更多詳情,以及可進一步提高這種抑制性能的選項,請參見AD4134數據手冊。

圖11.混疊抑制與帶外頻率。
我們在本文中所闡述的CTSD ADC概念有助于信號鏈設計人員了解此架構的電阻輸入、電阻基準和固有混疊抑制特性。一個易于驅動的輸入和基準電壓源,以及CTSD ADC信號鏈中無需AAF設計,這些共同造就了適合各種應用的新型簡化ADC前端設計。請閱讀本系列文章的下一部分,了解有關這些簡化的精密信號鏈設計的更多信息!
參考電路
抗混疊濾波器設計工具
濾波器設計教程
Kawle, Abhilasha and Wasim Shaikh。 “CTSD精密ADC — 第1部分:如何改進精密ADC信號鏈設計時間。” 模擬對話,第55卷第1期,2021年2月。
Kawle, Abhilasha。 “CTSD精密ADC — 第2部分:為信號鏈設計人員介紹CTSD架構。” 模擬對話,第55卷第1期,2021年3月。
Kester, Walt。“MT-002:奈奎斯特準則對數據采樣系統設計有何意義。”ADI公司,2009年。
免責聲明:本文為轉載文章,轉載此文目的在于傳遞更多信息,版權歸原作者所有。本文所用視頻、圖片、文字如涉及作品版權問題,請聯系小編進行處理。
推薦閱讀:


