- 熔斷器的工作原理
- 熔斷器的主要參數
- 熔斷器選用時須考慮的主要參數
- 重要參數的計算方法
- 根據熔化熱能I2t 選擇熔斷器電流型號匹配指導
- 環境溫度應在規定工作溫度范圍之內,當超過環境溫度25℃時,應參照溫度折減曲線降級使用
- 熔斷器所在電路中的最高電壓不應超過熔斷器的額定電壓
- 額定電流:通過熔斷器的工作電流不應超過額定電流的75%
- 短路截流能力:熔斷器所在的電路中可能出現的最大短路電流不應超過熔斷器的短路截流能力
- 熔斷特性:熔斷器在出現需要切斷的過載電流時的熔斷速度應滿足應用上的要求
- 熔斷器的I2t應大于浪涌電流的I2t
熔斷器的工作原理
當電流通過導體時,因導體存在一定的電阻,所以導體將會發熱且發熱量遵循著Q=I2Rt,其中Q是發熱量,I是通過導體的電流,R是導體的電阻,t是電流通過導體的時間。當制作熔斷器的材料及其形狀確定,其電阻R就相對確定了(若不考慮電阻溫度系數),當通電流后就會發熱,隨時間增加其發熱量亦增加,如果產生的熱量超過散發的熱量,熔斷器的溫度就會增加,當溫度升到熔斷器的熔絲熔點時熔斷器就發生熔斷亦即斷開電路起到保護作用。
熔斷器的主要參數
- 工作溫度: 指熔斷器周圍的溫度,AEM熔斷器的工作溫度范圍為-55℃到+125℃。
- 尺 寸: 片式熔斷器通常采用EIA/EIAJ規定的標準尺寸:1206,0603,0402。
- 額定電壓: 熔斷器在切斷過載電流過程中所能承受的最高電壓。
- 額定電流: 熔斷器所能承載的工作電流,目前AEM熔斷器可提供的額定電流范圍由0.25A到8A不等。
- 額定分斷能力: 又稱短路截流能力,額定電壓下能安全切斷的最大故障電流。
- 熔斷特性: 在給定過載電流情況下的熔斷速度。
- 熔化熱能: I2t指熔斷器熔斷所需要的能量。
熔斷器選用時須考慮的主要參數
- 1. 工作溫度:熔斷器工作時的環境溫度應在規定的工作溫度范圍之內,當環境溫度超過25℃時,應參照溫度折減曲線降級使用。
- 2. 額定電壓:熔斷器所在電路中的最高電壓不應超過熔斷器的額定電壓。
- 3. 額定電流:通過熔斷器的工作電流不應超過額定電流的75%。
- 4. 短路截流能力:熔斷器所在的電路中可能出現的最大短路電流不應超過熔斷器的短路截流能力。
- 5. 熔斷特性:熔斷器在出現需要切斷的過載電流時的熔斷速度應滿足應用上的要求。
- 6. I2t:熔斷器的I2t應大于浪涌電流的I2t 。
1. 溫度折減率: 當熔斷器工作的環境溫度高于25℃時必須考慮溫度的影響,在選擇熔斷器額定值時可依據:額定電流=工作電流/0.75/溫度折減率。 例如:如果工作溫度為65℃,從AEM溫度折減曲線可查出折減系數為90%,如果工作電流為4A,則我們應該選用的熔斷器額定值為:4/0.75/90%=5.9A或6A。
AEM熔斷器溫度折減曲線如圖一所示:
2. 幾種典型波形的I2t計算方法:
1)方波:

2)正弦波:

3)三角波:

4)衰減波:

[page]
根據熔化熱能I2t 選擇熔斷器電流型號匹配指導
I2t通常用于衡量一個熔斷器熔斷時所需要的能量,其中I為過載電流,t為熔斷時間。
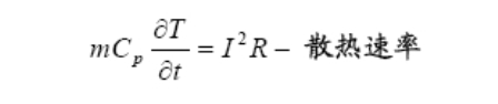
I2t并非一個常數,原因是一個熔斷器的熔斷時間并非單由生產的熱量決定。散熱的速度及熔斷器的熱容特性,均會影響熔斷時間。熔斷器的能量平衡關系可用下面的簡化公式來表達:

其中m為熔斷器的質量,Cp為比熱或熱容系數,T為溫度,t為時間,
當產生熱量的速率等于散熱速率時,
熔斷器的散熱,主要由三種傳熱機理組成,即傳導、對流和輻射。這三種傳熱方式,其傳熱速率均與熔斷器及外界環境的溫度差有關。當溫度差越大時,傳熱的速率亦越大。傳導傳熱主要是通過熔斷器的本體材料,將電熱從熔斷器的導電部分傳到周邊,包括通過端頭傳到線路板及由外表面傳到周圍的空氣中。對流傳熱是由周圍空氣的流動產生,對流傳熱有兩種方式:一為自然對流,即由于熔斷器表面的空氣被熔斷器加熱而產生密度的變化所造成;另一為強制對流,即由電子器件內排風扇強制空氣的流動造成。輻射是由熔斷器表面產生的熱輻射造成,其速率取決于熔斷器表面溫度與環境溫度四次方之差和熔斷器表面及散熱空間的黑度。
當熔斷器產生熱量的速度大于散熱速度時,
在電子電路中,時常會用到電容和電感。電容和電感均會在電流變化時吸收或放出能量,這就會造成瞬間的大浪涌電流。這些浪涌電流通常在電路開和關時較大,有時浪涌電流會是穩態電流的數倍,甚至是十數倍。電路設計師在選用熔斷器時,要考慮熔斷器承受浪涌電流的能力。
I2t的數據或圖表,可用于估算熔斷器熔斷所需的能量,和熔斷器承受浪涌電流的能力。
由于I2t不是一個常數,有些廠家提供I2t相對于電流或熔斷時間的變化曲線供用戶參考。從實驗數據及曲線中我們可以看到,表面貼裝片式熔斷器的I2t只有在電流達到額定電流的1500%才會趨于穩定。有些廠家提供熔斷時間為0.001秒時的I2t供用戶參考。但是我們要注意到0.001秒時的I2t與0.0005秒時的I2t是不同的。只有在浪涌電流的脈沖時間與參考的熔斷I2t的時間接近時,I2t才有參考意義。如果我們將前面熔斷器能量平衡的公式對時間作一個積分,我們可以得到:

只有在m, Cp,R,I及散熱速率均與溫度及時間無關時,我們才可以得到I2t的常數關系,
即:
或

但實際上物性數據m(質量),Cp(熱容),R(電阻)均是溫度的函數,而散熱速率更因溫度的升高而升高,所以將I2t作為一個常數來考慮,只是非常粗略的一種近似。只有在熔斷時間非常短,而散熱和導體周邊材數的吸熱都可以忽略不計時,這種近似才有意義。
一些測試的數據表明,當過載電流達到額定電流的1500%時,I2t接近于一個常數。
[page]
下面我們通過兩個例子來說明如何根據浪涌電流的I2t來選用能夠承受該浪涌電流的熔斷器。
例1:下圖為一個用戶所提供的浪涌電流曲線:

我們可以根據I和t的數據算出I2t與t的數據,并將這些數據標在I2t相對于t的熔斷器特性圖上。

上圖下面兩條熔斷器的I2t曲線均在局部低于電流浪涌脈沖的I2t。這說明這兩個熔斷器的熔斷能量,均低于浪涌電流脈沖的能量。這兩個熔斷器不適用于這一電路。
第三條熔斷器的I2t曲線在電流浪涌脈沖I2t曲線之上。這一熔斷器有可能用于這一電路。我們在這里之所以說“有可能”,是因為我們還要考慮其他使用條件。這些條件包括:
- (1)要有多大的I2t安全系數才能保證滿足由于電路元件參數的散布(包括熔斷器自身),和多次脈沖造成的熔斷器降級(derating)的要求;
- (2)由于使用溫度高于環境溫度而作的降級使用;
- (3)電流最高電壓和最大要求分斷能力需要小于所選用的熔斷器的最高使用電壓和最大分斷能力;
- (4)在電流出現短路故障時,熔斷器的反應時間是否足夠快。
在這里,我們重點分析第(1)點。實際選用的熔斷器的I^{2}t_{F}值,即相應于電流浪涌I2tmax最大值處的熔斷器的I2t值, 應該滿足:

AEM熔斷器具有良好的抗脈沖老化性能,測試數據表明,AEM熔斷器在多次脈沖后不會出現明顯的老化現象,因此我們建議客戶選用100%-200%作為100,000次使用的
例2:當有一脈沖波形如下圖時,可以用疊加法計算出熔化能量數值: I2t=(242x120+1/2x44.42x80)*10^-6=0.15(A2s)計算出熔化熱能后即可按照上述方法選取相應的fuse型號。





