【導讀】說起差分線,做高速設計應該沒有人不知道。最大的認知就是抗干擾能力強。對于畫線路板來說,比單根的并行總線簡單。如:DDR一大把線比PCIE幾對差分線麻煩多了。
差分線——差模,共模,奇模,偶模傻傻的分不清楚
說起差分線,做高速設計應該沒有人不知道。最大的認知就是抗干擾能力強。對于畫線路板來說,比單根的并行總線簡單。如:DDR一大把線比PCIE幾對差分線麻煩多了。

前幾天公司的小朋友問皮皮,什么是差模,共模,奇模,偶模?說傻傻的分不清楚。想當年,皮皮剛接觸的時候,也是傻傻的分不清。
我們先來看看差分線的概念:
簡單來說就是差分線上的兩根線走著電壓相同,相位相反的兩個信號之間相愛相殺的故事。下面這張翹翹板的圖片,很形象的解釋差分線。一會正的上去,一會負的上去,但是始終圍繞著中間點。

圖片來自網絡
如下圖的波形中,Vp為+,Vn為-。綠色的Vdiff就是兩個信號的差值,形成的差分信號。

差模,共模:
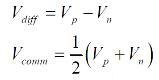
這里就出現差模,共模這兩個概念:任意兩個單端信號組合在一起,都可以分解成差模和共模兩個分量。從下面數學公式上來看就非常直觀。

根據公式Vcomm是一個恒定的值,這樣Vp和Vn就可以用Vdiff和Vcomm來表示。像不像一個信號用直流分量+交流分量。記住這個恒定的值,當它不恒定的時候,就會產生信號完整性和EMC的問題。

奇模,偶模:
從上面來看,差模,共模是兩根線之間的關系。奇模,偶模就是單根線分別對地的關系。當兩根線同相位,則為偶模。

從下面這個圖中,也很清晰的看出他們的區別:

現在肯定有人會問,他們之間是什么關系呢?當然有,要不怎么放一塊。
他們的數學關系如下:

到這里,大家應該對這四個概念有一個清晰的認識。
但是,會不會誤解,差分阻抗就等于單根線的特性阻抗之和(錯誤)。其實,之前皮皮也這么認為,但皮皮用阻抗軟件計算,這個關系式并不成立。這是因為我們忽略了兩根線之間的耦合。當兩根線之間有磁場交會時就有個耦合系數的問題。所以往往差分信號會比他們單根信號之和要低。原創今日頭條:臥龍會IT技術
如下,從某文章中看到的公式,定義差分阻抗。

下面的表也說明問題,不同線間距,相同差分阻抗的情況下,其他阻抗的值,就可以看出,差分阻抗的值根本就不等單根線的特性阻抗之和。
最后一欄就是特性阻抗。

好了,以上是我對小朋友解釋的四個概念,也是自我總結整理的過程。希望能分享給大家。對大家有所幫助。也可以就這個問題討論。
免責聲明:本文為轉載文章,轉載此文目的在于傳遞更多信息,版權歸原作者所有。本文所用視頻、圖片、文字如涉及作品版權問題,請聯系小編進行處理。
推薦閱讀:
如何優化汽車電池管理系統的精密電池測量精度?
射頻PA+FEM導雜散差的原因分析
TI毫米波傳感器:邊緣智能化為自主工廠提供動力
如何應對FPGA或SoC電源應用面臨的小尺寸、低成本挑戰?
聯想智慧中國行:聯想商用IoT新品發布會圓滿落幕
如何優化汽車電池管理系統的精密電池測量精度?
射頻PA+FEM導雜散差的原因分析
TI毫米波傳感器:邊緣智能化為自主工廠提供動力
如何應對FPGA或SoC電源應用面臨的小尺寸、低成本挑戰?
聯想智慧中國行:聯想商用IoT新品發布會圓滿落幕


