【導讀】反激式電源變換器是目前最常見的變換器拓撲之一。 其優勢在于簡單的設計和極具競爭力的尺寸/成本/效率比,尤其是在中等功率范圍(2W 至 100W)應用中。
與任意變換器拓撲一樣,反激式變換器由電源路徑和控制路徑組成。電源路徑負責將電源從一種類型變換為另一種類型;與其他開關電源變換器相同,其組成元件包括:兩個開關(一個 MOSFET 和一個二極管)、一個電容器和一個電感器。與其他變換器拓撲不同的是,反激式變換器的電感實際上是一對耦合電感。除了為變換過程存儲電力之外,這些電感還實現變換器原邊與副邊之間的隔離(見圖 1)。
圖1: 反激式變換器的電路原理圖
本文將以變換器控制路徑為重點進行介紹,但也會包含電源路徑操作的簡要描述。反激式變換器有兩個操作階段, tON和tOFF,它們以 MOSFET 的開關狀態命名并通過MOSFET控制。
在tON期間,MOSFET 導通,電流從輸入流過原邊電感,對耦合電感線性充電并在其周圍產生磁場(見圖 2.b)。在副邊電感中,整流二極管反向偏置,這意味著變壓器與輸出斷開(見圖 2.a)。
圖 2:a) MOSFET 和二極管中的電壓 b) 原邊和副邊線圈中的電流
存儲在輸出電容器中的電荷負責保持負載上穩定的電壓(見圖 3)。
圖3: 反激式變換器的電流示意圖
在tOFF期間, MOSFET斷開,耦合電感開始通過二極管去磁,二極管也同時直接極化。然后,來自電感器的電流為輸出電容器充電并為負載供電。
盡管電源路徑掌管了整個變換過程,但變換器設計中還有一個要素也需要考慮,即控制回路。由于系統中存在電源波動或負載變化等擾動,因此控制路徑對確保系統不受擾動影響而穩定的運行十分必要。
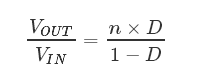
與大多數開關變換器一樣,反激式變換器的輸出電壓通過 MOSFET 占空比來控制。通過觀察等式 (1) 中的反激控制器傳遞函數,我們可以輕松理解這一點:
等式 (1) 表明,隨著 D(占空比)值的增加,變換器增益也會增加,從而增大輸出電壓。因此,控制器會修改它發送到 MOSFET 柵極的信號,以補償它在變換器輸出中檢測到的任何變化。
變換器必須首先檢測輸出電壓的這些變化,正確處理該電壓,然后相應地調節晶體管的柵極電壓。為了實現更精確的控制,許多控制路徑都包含一個電流控制環路,它通過檢測流經原邊電感器的電流來幫助改善調節和功率因數。這就是最常用的反激式變換器控制技術:峰值電流控制模式(見圖 4)。
圖4: 峰值電流控制模式原理圖
原邊和副邊調節
反激式變換器中最主要的問題是保持隔離。如前文所述,反激式變換器的主要優點之一是在輸入和輸出之間提供了磁隔離。隔離將電路分為兩半,稱為原邊和副邊。隔離對保護連接到輸出的任意設備至關重要,它避免了設備因電流泄漏而損壞,甚至傷害到最終用戶。
也因此,隔離必須保持,這意味著原邊電路和副邊電路之間不能有傳導路徑。但是,這也不是絕對的。電壓源變壓器通常允許最大10mA的漏電流,并需要至少3kV 的隔離。但原邊與副邊之間的漏電流仍然需要盡可能地最小化。
這其中還包含了控制器,因此,設計人員必須找到一種方法,無需繞過隔離屏障即可檢測變換器輸出電壓。這可以通過兩種調節方法來實現:原邊調節和副邊調節。
原邊調節
在實際應用中,控制器 IC 需要來自變壓器的輔助輸出來為 IC 電路供電(見圖 5)。由于變壓器的特性,這個輔助變壓器輸出與變換器的輸出電壓直接相關。因此,通過了解變壓器的匝數比,可以通過該輸出電壓來調節系統。 這稱為原邊調節 (PSR),這種方法通過很少的組件對輸出進行了粗略的調節。大多數 PSR 控制 IC 還包括補償電路,這樣更是極大地縮短設計時間。
圖5: 原邊調節電路原理圖
原邊調節的另一個好處是它最大限度地減少了穿過隔離屏障的路徑數量。這在高壓應用中尤其有益,因為它降低了組件的隔離電壓要求,從而降低了總成本。
但是,原邊調節也有一些缺點。例如,輔助繞組上的反射輸出電壓采樣僅在每個 PWM 周期發生一次。PSR 調節系統通常采用拐點采樣,這是一種在電感電流處于最低值時對電壓進行采樣的方法。這種方法顯著減少了電路中的振鈴,但也意味著在開關周期之間不會監測電壓值。因此,其瞬態調節要比在副邊系統中調節慢,在副邊系統中,輸出電壓始終受到監測。
此外,原邊調節在多個輸出時調節性能較差,特別是當連接到每個繞組的負載變化很大時。這是因為系統通常會選擇最重負載來實現反饋,所以最重負載單獨決定了控制回路的響應。
副邊調節
如果需要更精確的調節,則采用副邊調節(SSR,見圖 6)。這種方法直接檢測輸出電壓,并通過光耦合器將信號發送到變換器,從而在不破壞原副邊之間隔離屏障的情況下傳輸信號。即使副邊有一個或多個輸出,副邊調節也是更精確的方法。這主要是因為各個副邊繞組之間的交叉調節比原邊與副邊繞組之間的交叉調節好得多。副邊調節還允許采用不同的技術來優化調節性能,例如在變壓器中使用升級繞組或加權反饋技術。
圖6:副邊調節電路原理圖
不過,副邊調節也有其自身的一系列缺點。例如,SSR 控制回路需要更多組件,特別是當電壓在發送到位于變換器原邊的控制器之前需要在副邊進行補償時,更是如此。 這增加了變換器的尺寸和成本,同時由于光耦合器隨時間性能下降而降低了可靠性。
總結
在變換器設計中有兩種不同的方法實現控制環路:原邊調節與副邊調節(PSR 和 SSR)。如上文所述,每種方法都有其優缺點,現總結如下(見表 1)。
MPS 提供了種類繁多的反激式變換器,可提供原邊調節和副邊調節。部分SSR 控制器(例如MPX2001)甚至包括集成隔離,占板空間更少,設計過程也更加簡單。要了解更多信息,請瀏覽 MPS 網站上提供的參考設計、工具、網絡研討會和其他文章,這些文章將為您提供有關反激控制電路的更深入的實用信息。
免責聲明:本文為轉載文章,轉載此文目的在于傳遞更多信息,版權歸原作者所有。本文所用視頻、圖片、文字如涉及作品版權問題,請聯系小編進行處理。
推薦閱讀:
Digi-Key開售來自Renesas和Dialog的五種新型強大產品組合




