【導讀】醫療設備、測試測量儀器等很多應用對電源的紋波和噪聲極其敏感。 理解輸出電壓紋波和噪聲的產生機制以及測量技術是優化改進電路性能的基礎。
第一部分:輸出電壓紋波
以Buck電路為例,由于寄生參數的影響,實際Buck電路的輸出電壓并非是穩定干凈的直流電壓,而是在直流電壓上疊加了輸出電壓紋波和噪聲,如圖1所示。

圖1. Buck 輸出電壓紋波和噪聲
實際輸出電壓紋波由電感電流與輸出阻抗決定,由三部分組成,如圖2 所示。
1. 電感電流紋波通過輸出電容的寄生電阻ESR形成的壓降
2. 輸出電容的充放電
3. 寄生電感引起的電壓突變

圖2. 輸出電壓紋波的組成
不同類型的輸出電容,寄生參數的大小不同,三部分紋波所占的比例也有所不同。因此,使用不同類型的輸出電容會得到不同波形的電壓紋波。如圖3所示,電解電容的ESR較大,紋波由ESR主導,波形與電感電流紋波形狀類似。陶瓷電容的ESR和ESL都很小,主要由電容的充放電主導,紋波類似電容的充放電曲線。OSCON電容三者的影響都體現在紋波中。

圖3. 不同類型輸出電容的電壓紋波
第二部分:輸出電壓紋波的測量
在測量輸出電壓紋波時,要注意如下幾點,正確方式如圖4所示。
1. 保證接地環路盡可能小,建議使用接地環
2. 探頭應靠近電容兩側
3. 避免同時使用示波器其他通道測試其他點位的波形
4. 如果只關注開關頻率分量紋波,建議打開示波器帶寬限制
如圖5所示,左側波形同時測量開關節點和輸出電壓紋波,帶寬限制關閉。可以看到,輸出電壓紋波中的噪聲較大,影響紋波的測量。

圖4. 輸出電壓紋波測試方式

圖5. 輸出電壓紋波測試對比
第三部分:輸出電壓紋波的抑制
由以上分析可知,輸出電壓紋波由電感紋波電流和輸出電容阻抗決定(式1)。

因此,要降低輸出電壓紋波可以通過降低電感電流紋波或者降低輸出電容阻抗。 當輸入輸出電壓和負載一定時,電感電流的紋波跟開關頻率和電感量成反比。增加電感量或者開關頻率可以有效降低輸出電壓的紋波,但開關頻率和電感往往受到電路效率和體積等的限制。
當開關頻率和電感值一定時, 抑制紋波電壓最有效的方式是減小輸出電容在開關頻率處的輸出阻抗。在實際應用場景中,通常會并聯多種不同的輸出電容來獲得足夠的容量并降低輸出電壓紋波,如圖6所示。由式(2)-(5)可以計算得到輸出電容的總阻抗以及等效的電阻和電容。若已知Buck電路的開關頻率,通過式(3)可得到開關頻率處的阻抗,也就可以得到輸出電壓紋波。但是,當輸出電容數量較多時,計算會變得很復雜。簡單有效的方式可以借助Excel 工具,如圖6所示。

圖6. 多個輸出電容并聯


圖7. 輸出電壓紋波計算工具
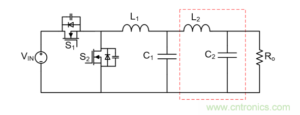
若選擇合適的電容仍然無法滿足紋波的要求,可以增加第二級LC 濾波器來進一步降低輸出電壓紋波, 如圖8所示。

圖8. Buck 電路第二級LC濾波器
第二級LC濾波器提供額外的增益衰減,但同時高品質因素Q值也會導致相位裕度降低,甚至導致環路穩定性問題,如圖9所示。為保證環路穩定,可以在L2兩端增加damp電阻,降低Q值。圖10以TI電源模塊LMZ23601為例 (Vin = 24V, Vout = 5V, Fsw = 750kHz, Iout = 1A),在輸出端增加160nH 電感, 3X22uF 電容, 250m? damp電阻,輸出電壓紋波<1mV。

圖9. Buck兩級濾波波特圖

圖10. LMZM23601 兩級濾波

圖11. LMZ23601 兩級濾波輸出電壓紋波
綜上所述,理解輸出電壓紋波的形成原理,根據實際應用要求,針對性地優化電感值、開關頻率以及輸出電容,可有效降低輸出電壓紋波,滿足應用需求。
推薦閱讀:



