中心議題:
- 短路保護電路的工作原理分析
- 線性穩壓器的短路保護電路設計
一個高可靠性的線性穩壓器通常需要有限流保護電路,以防止因負載短路或者過載對穩壓器造成永久性的損壞。限流保護通常有限流和折返式限流2種類型。前者是指將輸出電流限定在最大值,該方法最大缺點是穩壓器內部損失的功耗很大,而后者是指在降低輸出電壓的同時也降低了輸出電流,其最大優點是當過流情況發生時,消耗在功率管能量相對較小,但在負載短路時,大多數折返式限流型保護電路也沒有徹底關斷穩壓器,依然有電流流過,進而使功率MOS管消耗能量,加快器件的老化。針對上述情況,在限流型保護電路的基礎上,設計改進了一個短路保護電路,確保短路情況下,關斷功率MOS管。本文分別定性和定量地分析了這種短路保護電路的工作過程和原理,同時給出基于TSMCO.18μm CMOS工藝的Spectra仿真結果。
1 短路保護電路的工作原理
高可靠性短路保護電路的實現電路如圖1所示,其中VMP是線性穩壓器的功率MOS管,R1、R2為穩壓器的反饋電阻;VMO和VMP管是電流鏡電路,VMO管以一定的比例復制功率管的電流,通過電阻R4轉化為檢測電壓;晶體管VM1完成電平移位功能,最后接入由VM8~VM12等MOS管組成的比較器的正輸入端(Vinp),比較器的負輸入端(Vinm)與輸出端(0UT)相連;VM13、VM14組成二極管連接形式為負載的共源級放大電路;VM14和VMp1構成電流鏡電路;晶體管VMp1完成對功率管VMP的開關控制,正常工作時,VMp1的柵級電位(Vcon)為高電平,不會影響系統的正常工作,短路發生時,Vcon將為低電平,使功率管關斷。

1.1 工作原理的定性分析
當短路發生時,比較器的負輸入端電位(Vinm)為0 V;同時VM1管將導通,因此比較器的正輸入端電位大于0 V,最終比較器的輸出節點電位(Vcom)為高電平,在MOS管VM13、VM14作用下,控制信號Vcon將為低電平,最終VMP管的柵極電壓將升高,進而關斷P功率管,實現短路保護。
實現短路保護后,VM1管將關斷;VM3和VM4組成電流鏡,晶體管VM2的作用是保證電路在短路期間(VM1管關斷),比較器正輸入端的電壓始終高于比較器的負輸入端電壓(即使系統存在地平面噪聲),從而使Vcon電壓始終為低電平,確保電路在短路發生期間始終都能關斷P功率管,實現保護電路的高可靠性。
同時當短路發生時(即Vcon信號為低電平),VM7管正常工作,VM5管將導通,有一定的電流流向0UT端;因此一旦短路消除(即0UT端接有負載電阻),VM5管將對負載電容和負載電阻組成的并聯RC網絡充電,0UT端電壓升高,Vcon信號將變為高電平,電路自動恢復正常狀態。
[page]
1.2 工作原理的定量分析
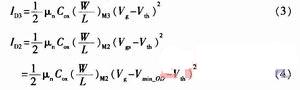
由電路分析可知,比較器的正負輸入端關系為:

比較器輸入端的Vinp,因此比較器輸出信號Vcon為低電平,將關斷P功率管,實現短路保護。
當P功率管關斷后,ID0=O,晶體管Vcon將截止,此時比較器Vinp輸入端電壓Vmin_OD取決于晶體管VM2、VM3、VM4組成的網絡,只要保證Vmin_OD大于Vinm電壓(Vinm=VOUT=O),P功率管將一直處于關閉狀態。
接下來將分析VM2、VM3和VM4組成的網絡如何確保Vmin_OD大于0。分析電路可知,VM2、VM3工作在飽和區,VM4工作在線性區,因此ID3>ID4,ID4=ID2。

因此選取
,即可得到Vinp>0。本文VM3的寬長比為VM2的寬長比的10倍,Vmin_OD=2.6 mV。
當短路排除后,流過VM5的電流將對RC網絡充電,過t秒后Vinm(0UT)端電壓將大于Vmin_OD,電路正常工作。其中充電時間為:
![]()
式中IDM5為VM5的漏電電流,RL=VOUT/Imax,CL為負載電容,其中Imax是系統規定的最大負載電流。要使系統能正常啟動,IDM5必須滿足IDM5>VOUT/RL,因此合理選取參數,就能正常啟動。
2 仿真結果與討論
基于TSMC O.18μm CMOS工藝,仿真結果如圖2~圖3所示。仿真結果表明輸出短路時,輸出電流為O,P功率管被關斷,實現短路保護。

圖3(a)所示曲線的仿真條件是輸出負載周期性地從0 Ω變化到5 Ω。仿真結果表明當輸出發生短路時(即負載為0),輸出電流被限制在最大電流值,這樣功率MOS管會消耗大量功耗,將加快器件的老化。
圖3(b)所示曲線的仿真條件與圖3(a)的條件一樣。仿真結果表明當輸出發生短路時(即負載為0),輸出電流被限制為O,即功率MOS管被完全關斷,同時表明系統具有自動恢復的特點,即負載短路消除后,系統恢復正常工作。
3 結論
在限流電路的基礎上,設計改進一個短路保護電路,確保在短路情況下,徹底關斷功率MOS管,減少短路發生時系統損失的功耗。同時該電路具有以下特點:高可靠性、自動恢復,即使地平面存在大量噪聲,當短路發生時,穩壓器的功率管截止,實現保護,而短路一旦消除,穩壓器的輸出將自動恢復到正常狀態,有效地保護系統。在藍牙功率放大器電源管理電路中得到了很好應用。



