中心議題:
- 研究理想串聯諧振電容器充電電源的電流特性和實際串聯諧振電容器充電電源的電流特性
- 分析充電系統中高壓變壓器和高壓整流二極管的寄生參數的影響
- 采用等值電路來描述變壓器和二極管中復雜的寄生電容,并且通過試驗得出結論
解決方案:
- 提出采用圖表法對串聯諧振電源進行參數設計和調試
- 變壓器和二極管寄生電容的存在,使高壓串聯諧振充電電源變成高壓串并聯諧振充電電源
- 開環控制的串并聯諧振CCPS,其充電電流隨著輸出電壓的升高而減小
引言
隨著脈沖功率技術的發展,高壓脈沖電源的需求越來越廣,且越來越多。在開關頻率固定的情況下,理想串聯諧振充電拓撲因其能在較寬的電壓范圍內具有平均充電電流恒定的特點,且抗負載短路能力強,被廣泛用于對高壓電容器充電。但實際裝置中的串聯諧振充電電流并不恒定,主要原因有:①充電時直流母線電壓會發生變化;②變壓器存在分布電容;③高壓整流器存在極間電容。從而給參數設計和設備調試帶來了一定困難。目前,通常是通過不斷地改變諧振參數進行調試,直至找到合適的諧振參數,調試周期長,造成不必要的人力和財力浪費。國內外有關分布電容影響的報道極少,文獻提到了由于分布電容的影響,充電電流隨著輸出電壓的升高而減小,但未作深入研究;文獻(Bowles E E, Chapelle S. A high power density, high voltage powersupply for pulsed rada system[C]. The 21th International Power Modulator Symposium, 1994:170-173.)實現了一個串并聯諧振CCPS,但未對電路工作特性作具體深入研究。
本文研究了理想串聯諧振電容器充電電源的電流特性和實際串聯諧振電容器充電電源的電流特性,分析了充電系統中高壓變壓器和高壓整流二極管的寄生參數的影響,采用等值電路來描述變壓器和二極管中復雜的寄生電容,并且可以通過試驗來測得,指出由于變壓器和二極管寄生電容的存在,使所設計的高壓串聯諧振充電電源變成了一個高壓串并聯諧振充電電源,其充電電流并不恒定。文中對軟開關串并聯諧振CCPS 進行了系統分析,得出其固有的一些重要特性,同時給出了一個具有重要實用價值的圖表,通過這個圖表能快速設計諧振參數,改變以往通過往復改變諧振參數并不斷進行試驗來設計和調試高壓充電電源的辦法。文中通過一個25kW 的高壓脈沖電源系統作為實例,驗證了采用圖表法的有效性。
理想串聯諧振CCPS 的工作特性
高壓電容器充電電源的主電路拓撲如圖1 所示,變壓器變比為n,L 為諧振電感,C1 為諧振電容,TS 為開關周期,T1 為諧振周期,fS 為開關頻率,TS>2T1,開關管工作在軟開關狀態。在所有串聯諧振CCPS 中,設Co、Vco 分別為充電電容和充電電壓,均有n2Co>>C1 成立。
平均充電電流為

由式(1)可知, 當Vin、L、C1、和fS 恒定,平均充電電流恒定,電容器電壓呈線性上升,但實際裝置中由于變壓器和高壓整流二極管并不是理想器件,變壓器存在分布電容,高壓整流二極管也存在極間電容,開環控制的串聯諧振CCPS 的平均充電電流并不恒定,電壓上升曲線并不線性。

實際的串聯諧振CCPS
高頻升壓變壓器和高壓整流二極管的分布電容對充電電流的工作狀態影響較大,是不能被忽略的。變壓器的分布電容較為復雜,在高頻高壓升壓變壓器中,為減小變壓器體積和漏感,通常采用導磁率較高的鐵芯,如超微晶合金材料,變壓器原邊匝數較少;為減少變壓器原副邊耦合,通常設有屏蔽繞組;從而可以忽略原邊分布電容、原、副邊分布電容的影響。變壓器的激磁電抗較大,其影響也可以忽略。于是實際的串聯諧振電容器充電電路可等效于圖2 所示電路。可以看出,實際電路變成了一個串并聯諧振充電電路。

與串聯諧振CCPS 不同,串并聯諧振CCPS 的諧振過程與輸入電壓、充電電容電壓、串聯諧振電感、串聯諧振電容、并聯諧振電容有關,因而在半個開關周期存在多種工作情況,各種工作情況下又存在不同的工作模式,各個工作模式的諧振頻率也不盡相同,其工作過程相對于理想串聯諧振CCPS要復雜得多。由于諧振頻率和開關頻率較高,在一個諧振周期中充電電容電壓變化非常小,因此可將一個諧振周期的串并聯諧振充電等效成輸出電壓不變的串并聯諧振充電。設等效至變壓器原邊的充電電容電壓為Vo。根據在一個諧振周期中充電電流的有、無可分為以下3 種情況。
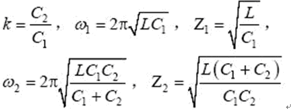
分析之前定義如下變量:

情況1:充電電流在正負諧振周期內均存在,則有如下3 種工作模式。
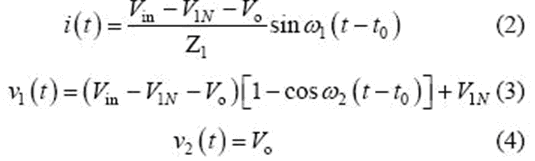
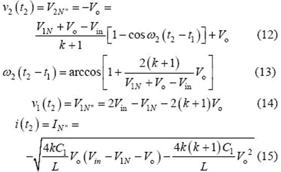
模式1: Q1、Q3 導通,v2(t0)=Vo,整流二極管D5、D7 導通,諧振電流i >0,充電電流io=i,此模式等效電路如圖3(a)所示,電壓、電流方程為

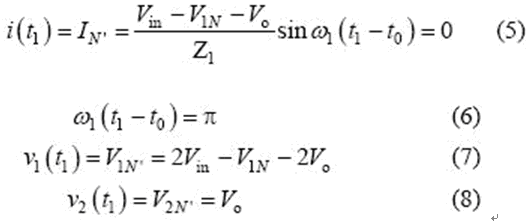
當串聯諧振電流為0(即t1 時刻)時,該模式結束,可得到如下表達式:

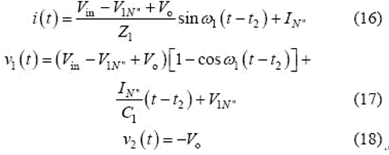
模式2:當i(t1)=0 時,諧振電流開始反向i<0,并通過二極管D1、D3 續流,所有整流二極管處于截止狀態,充電電流io=0,其等效電路如圖3(b)所示,電壓、電流方程為

當v2(t2)= -Vo 時,該模式結束,可得到如下表達式

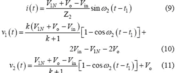
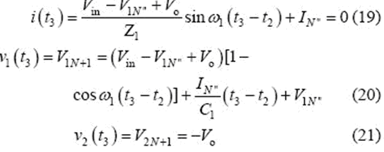
模式3:從v2(t2)= -Vo 起,諧振電流i<0,續流二極管D1、D3 仍處于續流導通狀態,此階段v2(t2)= -Vo,整流二極管D6、D8 導通,充電電流io= -i,其等效電路如圖3(c)所示,電流、電壓方程為

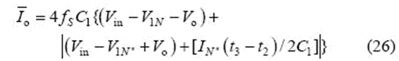
當i(t3)=0 時,該模式結束,有如下表達式
公式

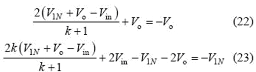
電路工作在該情況的臨界條件應滿足

由式(22)和(23)可解得

因此,滿足情況1 的條件是Vo< (1+>。
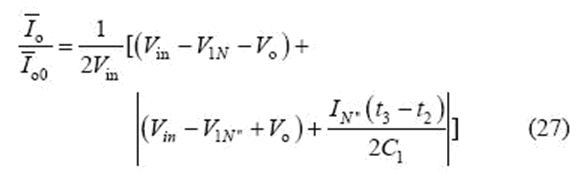
電路穩態工作時有

平均充電電流為

當輸出電容電壓為零(即輸出短路)時,該諧振電路與串聯諧振電路工作在輸出短路時完全相同,其諧振電流為大小為 

從上面的分析可以看出,V1N 是一個超越方程,解出V1N 是相當困難的,有必要研究其充電規律,找出較為理想的設計方法。
由式(2)~(25)可以看出,V1N+1 只與諧振電容的比值有關,與諧振電容本身大小和諧振電感大小無關,因而V1N、V1N’、Z1IN’’均為Vin、Vo 和k 的函數。

故由式(24)和(27)可得如下結論:
(1)工作在該情況下的條件是Vo<>;
(2)
與諧振電容本身大小和諧振電感大小無關,只與諧振電容的比值有關,且
為Vo/Vin 和k 的函數;當k 一定時,
為Vo/Vin 的函數。
情況2:充電電流在正諧振半個周期內存在,在負諧振周期內充電電流為零,則有如下3 種工作模式。
模式1: Q1、Q3 導通,v2(t0)<Vo,整流二極管均截止,諧振電流i>0,充電電流io=0,等效電路如圖4(a)所示。
模式2:當v2(t1)=Vo 時,整流二極管D5、D7 導通,io=i,其等效電路如圖4(b)所示。
模式3:當諧振電流i(t2)<0 時,續流二極管D1、D3 導通,整流二極管截止,io=0,等效電路如圖4(a)所示。

仿情況1 分析,可得如下結論:
(1)工作在該情況下的條件是Vin /(k+1) <Vo<2Vin/(k+1);
(2)
是k 和Vo/Vin 的函數,與諧振參數本身大小無關。
情況3:充電電流在正負諧振半個周期均為零,則有如下兩種工作模式
模式1:Q1、Q3 導通,v1(t0)=V1N,v2(t0)=V2N<Vo,其等效工作電路如圖5 所示。
模式2:當i(t1)=0 時,進入該模式,半個諧振周期后結束,等效電路如圖5 所示。

仿情況1 分析,可得如下結論:
工作在該情況下的條件是Vo>2Vin/(k+1),充電電流為零。
根據上面3 種情況得分析,可得到串并聯諧振CCPS 具有如下性質:
(1)k 一定時,
隨Vo/Vin 的變化關系相同;
(2)充電電壓最高可達到2Vin/(k+1) 。
根據上面的性質,通過仿真可以得到不同k 值情況下的
隨Vo/Vin 的變化曲線,如圖6 所示,該圖可用于諧振參數設計和調試。曲線從上到下k值依次為:0;0.02;0.05;0.1;0.2;0.3;0.4;0.5;0.6;0.7;0.8;0.9;1.0;2.0;3.0;4.0;6.0;8.0;19.0。
由圖6 可得如下結論:
(1)開環控制的串并聯諧振CCPS,其充電電流隨著輸出電壓的升高而減小,平均充電電流不恒定;
(2)Vo/Vin 相同時,隨著k 變大,其
越小,要提高高電壓時的充電電流,就必需減小k 值;
(3)k 相同時,
隨Vo/Vin 的增大而減小;
(4)最高輸出電壓為2Vin/(k+1),當k>1 時,輸出電壓不能達到輸入電壓。

設計實例及實驗
根據圖6 可方便地進行諧振參數設計和設備調試。
設計要求:充電電容為2560µF,輸入電壓為380V±10%,充電電壓為0~25kV 可調,充電電流恒定為1A。
根據輸入電壓和輸出電壓,選擇變壓器變比n=60。為使整個充電過程平均充電電流恒定,充電至25kV 時充電電流仍能達到1A,因此,必須采用閉環控制。閉環設計的原則是:在所允許的最高開關頻率下,在最高輸出電壓時平均充電電流仍能達到所要求的恒定充電電流值。測得變壓器及整流二極管折算至原邊的等效分布電容為0.155µF,變壓器漏感3µH,最高開關周期定為60µs,調頻范圍為11.8kHz~16.7kHz,諧振參數設計步驟如下:
(1)由式(1)設計理想串聯諧振CCPS 下TS=2T1所需諧振電容,得C1=0.9µF。
(2)計算最大Vo/Vin 下充電電流大小,Vo/Vin=0.9, k=0.17,查圖6 可得,此時充電電流為0.44A。(3)調整諧振電容,選擇C1=1.55µF,則k=0.1,可算得最大Vo/Vin 下充電電流為1.09A,滿足要求。由此可算得諧振電感L=14.7µH,考慮線路壓降和確保電路工作在軟開關狀態,適當減小諧振電感,取L=13.2µH(含變壓器漏感)。
根據上面所設計的諧振參數進行了實驗,實驗波形如圖7 所示。可以看出,為保持充電電流恒定,隨著輸出電壓的升高,開關頻率變高,實測充電電壓為23kV 時變換器效率為92.7%。實驗表明,所設計的諧振參數完全滿足設計要求,該裝置已用于神光III 能源系統。

結論
分析了在串聯諧振電容器充電電源中變壓器分布電容和高壓整流二極管極間電容的影響,得出了分布電容與諧振電容比值相同時,充電電流特性相同的結論;提出了采用圖表法進行諧振參數設計和調試,并給出了該圖表,通過實例設計和實驗進行了驗證。



